-
목차
양자 컴퓨터의 회로를 설계하다 보면 반드시 마주하게 되는 게이트가 있다. 바로 Clifford 게이트다. 복잡한 양자 알고리즘 속에서도 이 게이트들은 유난히 자주 등장하며 양자 오류 정정, 얽힘 생성, 암호화 프로토콜에 이르기까지 핵심적인 역할을 맡는다. 하지만 Clifford 게이트는 단순히 H, S, CNOT 같은 연산 목록을 의미하지 않는다. 그 뒤에는 Pauli 연산을 보존하는 특별한 수학적 구조와 양자 회로를 안정적으로 추적 가능하게 만드는 강력한 메커니즘이 숨어 있다. 이 글에서는 Clifford 게이트의 작동 원리부터 왜 오류 정정과 궁합이 좋은지, 그리고
계산 완전성의 경계선에서 어떤 한계를 가지는지까지 실제 회로 설계 관점에서 하나씩 짚어본다. 양자 회로 설계자든 개념을 처음 접하는 독자든 Clifford 연산의 세계를 한번 정리하고 넘어가자. 생각보다 많은 것들이 이 ‘단순한 게이트들’에 걸려 있다.
Clifford는 기본 제공, T는 옵션! 양자 회로 조립 키트로 보는 QEC의 구조와 계산 완전성의 비밀
1. Clifford 게이트란 무엇인가 : Pauli 연산과의 관계로 보는 정의

양자 게이트에는 수많은 종류가 있지만 그중에서도 Clifford 게이트(클리포드 게이트)는 특별한 수학적 성질을 가진 연산자 집합이다. Clifford 게이트를 이해하기 위해서는 먼저 양자 회로의 가장 기본적인 구성요소인 Pauli 연산자부터 살펴보는 것이 좋다.
🔹 Pauli 연산자는 무엇인가?
Pauli 연산자는 단일 큐비트에 작용하는 2×2 복소수 행렬로 양자 정보의 가장 기초적인 연산을 담당한다. 대표적으로 다음 세 가지가 있다:
◽ Pauli-X (비트 플립)

- ∣0⟩를 ∣1⟩로, ∣1⟩를 ∣0⟩로 바꿈
- 고전 컴퓨터의 NOT 게이트와 유사
◽ Pauli-Z (위상 반전)

- ∣0⟩는 그대로, ∣1⟩는 부호를 반대로 바꿈
- 위상을 반전시킴 (보이지 않지만 연산 결과에 영향을 줌)
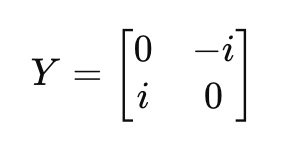
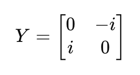
◽ Pauli-Y (복합 회전)

- X와 Z의 조합
- 상태를 복소평면에서 회전시키며 위상도 변화시킴
이들은 양자 오류 정정에서 가장 자주 언급되는 오류 유형(X, Z, Y)의 기반이기도 하다. 그래서 QEC(양자 오류 정정)에서는 이 연산자들이 어떻게 변하는지를 파악하는 것이 매우 중요하다.
.
🔹 Clifford 게이트는 Pauli 연산자를 ‘지켜준다’
이제 본론으로 돌아가서 Clifford 게이트란 무엇인가? 가장 핵심적인 정의는 다음과 같다:
"Clifford 게이트는 Pauli 연산자를 다시 Pauli 연산자로 바꾸는 유니터리 연산자이다."
여기서 말하는 ‘바꾼다’는 것은 단순히 상태를 변경한다는 의미가 아니라 Pauli 연산자들을 또 다른 Pauli 연산자로 ‘변환’시키지만 그 연산자의 구조나 성질은 유지한다는 뜻이다. 예를 들어 Hadamard(H) 게이트를 살펴보면:
- H X H = Z
- H Z H = X
즉, X를 Z로, Z를 X로 ‘회전시켜’ 변환하지만 여전히 결과는 Pauli 연산자 중 하나다. 이러한 연산을 수학적으로 표현하면:
- 유니터리 연산: 상태의 전체 확률 총합을 보존
- 직교성 유지: 서로 다른 Pauli 연산자는 여전히 구분 가능하게 유지
이런 성질은 양자 회로에서 매우 중요한 의미를 갖는다.
특히 QEC에서는 오류가 발생해도 그것이 Pauli 연산자의 범위 내에만 머문다면 그 오류는 추적·복원·정정이 수학적으로 훨씬 쉬워진다. 따라서 Clifford 게이트는 양자 상태를 보존하면서도 Pauli 오류의 추적 가능성을 유지시켜 주는 매우 실용적인 도구인 셈이다. 이제 다음 섹션에서는 이런 Clifford 게이트 중에서도 가장 대표적인 세 가지, Hadamard, S, CNOT가 각각 어떤 역할을 하는지를 살펴보자.
Clifford 게이트가 중요한 이유를 이해하려면 먼저 QEC가 어떻게 작동 가능한지를 알아두면 좋다. 👉 [양자 오류 정정의 원리 – QEC는 왜 가능한가?] 글에서 복제 불가능 정리와 신디롬 개념을 다룬 바 있다.
2. 대표적인 Clifford 게이트 – H, S, CNOT의 구조와 작동

양자 회로를 구성하는 양자 게이트 종류 중 Clifford 게이트는 Pauli 연산자를 변환할 수 있는 중요한 특성을 갖고 있다. Clifford 게이트는 여러 가지가 있지만 그중에서도 가장 핵심이 되는 세 가지는 바로 Hadamard(H), Phase(S), 그리고 CNOT 게이트다. 이 세 가지는 단일 큐비트와 두 큐비트 연산의 기본 조합으로 대부분의 Clifford 회로에서 이들만으로도 핵심 연산이 이루어진다.
이들 게이트는 Clifford 연산의 중심일 뿐 아니라 전체 양자 게이트 체계에서도 중요한 위치를 차지한다. 👉 Clifford 외 다른 주요 연산자에 대해서는 [양자 게이트란 무엇인가?] 글에서 정리해두었다.
그렇다면 이 각각은 어떤 역할을 할까?
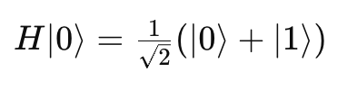
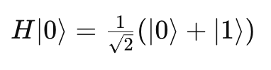
🔹 Hadamard(H) 게이트 – 중첩을 만드는 마법 같은 연산
Hadamard 게이트는 큐비트를 ‘겹쳐진 상태’, 즉 중첩 상태로 만들어 주는 역할을 한다. 예를 들어 고전 컴퓨터에서 '0'은 그냥 '0', '1'은 그냥 '1'이지만 양자 컴퓨터에서는 큐비트가 동시에 '0'과 '1' 사이 어딘가에 존재할 수 있다. 이런 상태를 만들기 위한 기본 도구가 바로 Hadamard이다.

∣0⟩ 상태에 H를 적용하면 동시에 0과 1을 가지는 상태가 된다. 이게 바로 양자 병렬성(quantum parallelism)의 시작점이다. 또한, H 게이트는 Pauli 연산자 X와 Z를 서로 바꾸는 역할도 하며 이것이 오류 정정에서 굉장히 유용하게 쓰이는 이유이기도 하다.
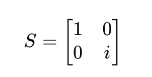
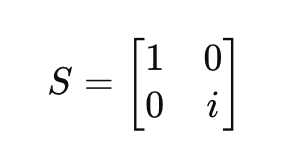
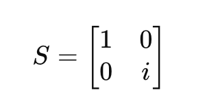
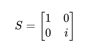
🔹 Phase(S) 게이트 – 보이지 않는 회전을 만든다
S 게이트는 상태의 위상(phase)를 살짝 바꾸는 역할을 한다. 이 위상은 겉으로 보기엔 변화가 없는 것처럼 보이지만 나중에 큐비트끼리 상호작용할 때 간섭 패턴에 영향을 준다. S 게이트는 다음과 같은 행렬이다:

- ∣0⟩는 그대로 두고
- ∣1⟩는 i라는 복소수 위상을 곱해준다
한마디로, 상태를 보이지 않게 살짝 ‘돌려놓는’ 연산이다. 이 S 게이트 역시 Pauli 연산자에 작용할 때 X→Y, Z→Z 와 같은 형태로 Pauli 연산자 내에서 변환을 일으킨다.
🔹 CNOT 게이트 – 두 큐비트를 연결하는 다리
CNOT은 양자 얽힘(entanglement)을 만들거나 큐비트 사이의 조건부 작용을 가능하게 하는 대표적인 2큐비트 게이트다.
- 제어 큐비트가 ∣0⟩이면 아무 일도 일어나지 않고
- ∣1⟩이면 타깃 큐비트의 값을 반전시킨다
이 구조 덕분에 양자 오류 정정(QEC)에서 큐비트 간 상관관계를 파악하거나 오류를 신디롬 큐비트에 옮겨서 간접적으로 감지할 수 있게 해준다. Clifford 연산 중 유일하게 두 큐비트를 동시에 다루는 연산이지만 그만큼 QEC나 얽힘 상태 준비에서 빠질 수 없는 핵심 구성 요소다.
3. Clifford 연산의 특징 – 왜 중요한가?

Clifford 게이트는 단순히 ‘Pauli를 Pauli로 바꾸는’ 게이트라는 점만으로 끝나는 게 아니다. 실제로는 양자 회로를 설계하고 오류를 추적하며, 경우에 따라 고전적으로도 계산이 가능한 등 양자 연산의 핵심 구조와 직접 연결되는 특징을 가지고 있다. 하나씩 자세히 살펴보자.
Pauli 연산자 하위 그룹과 연산적으로 닫혀 있다
Clifford 연산의 가장 독특한 성질 중 하나는 “닫힘성(closure)”이다. 즉, 여러 개의 Clifford 연산을 연달아 적용해도 결과는 다시 Clifford 연산이 된다는 뜻이다. 이는 수학적으로 군(group) 구조라고도 부르는데 이 구조 덕분에 회로 설계 시 예측 가능한 조합이 가능하고 연산자가 복잡하게 꼬이지 않아 분석이 쉬워진다는 장점이 있다.
실제로 양자 회로를 짤 때 Clifford 게이트만으로 구성된 블록은 “이 안에서 무슨 일이 일어나든 결국 Clifford다”라는 신뢰를 줄 수 있다. 이는 추적과 디버깅을 쉽게 만들고 오류 정정의 기반이 되는 연산 안정성을 보장한다.
오류 정정과 궁합이 뛰어나다
양자 오류 정정(QEC)의 가장 중요한 요소 중 하나는 “오류가 발생하더라도 그 오류를 알아차리고 고칠 수 있느냐”는 것이다. 양자에서는 오류가 Pauli 연산자 형태로 모델링된다. 즉, 어떤 오류는 X, Z, Y와 같은 연산자의 작용으로 나타난다고 가정한다. Clifford 연산의 강점은 이 오류들을 형태 그대로 유지하면서 이동시키는 것이다. 예를 들어:
- E=X1 라는 오류가 있고
- Clifford 연산 U를 수행한 후에는
- 오류가 UX1 U†로 바뀌지만 ((U†: 의 역연산 역할을 하는 에르미트 수반 (Hermitian conjugate)
- 이 결과도 다시 Pauli 연산자 중 하나로 표현된다.
이 말은 오류가 Clifford 회로를 통과한 후에도 “내가 아직도 Pauli 연산자다”라고 말해주는 셈이다. 이 성질 덕분에 신디롬 측정(syndrome measurement)과 같은 오류 추적 과정에서 오류가 복잡하게 꼬이지 않고 일관된 방식으로 계산 가능해진다. 다시 말해, “Clifford는 오류를 감추지 않고, 추적 가능하게 바꿔준다.”
고전 시뮬레이션이 가능하다 – Gottesman-Knill 정리의 힘
양자 컴퓨터는 흔히 고전 컴퓨터보다 훨씬 강력한 계산 능력을 가진다고 알려져 있다. 실제로 양자 회로는 단 하나의 연산만 해도 상태가 2배, 4배, 8배…로 복잡해지며 빠르게 고전 컴퓨터가 감당할 수 없는 수준으로 확장된다. 그런데 놀랍게도 일정한 조건을 만족하는 양자 회로라면 고전 컴퓨터로도 효율적으로 시뮬레이션할 수 있다. 이러한 사실을 설명해주는 것이 바로 Gottesman-Knill 정리다.
🔍 Gottesman-Knill 정리는 어떤 내용을 담고 있을까?
이 정리는 이렇게 말한다:
“Pauli 연산자, Clifford 게이트, 그리고 측정만으로 구성된 양자 회로는 고전 컴퓨터로도 다항 시간 내에 시뮬레이션할 수 있다.”
즉, X, Y, Z 연산과 H, S, CNOT 게이트로 구성된 회로라면 그 회로가 아무리 길어도 고전적인 알고리즘으로 상태를 추적하고 결과를 예측하는 것이 가능하다는 뜻이다. 이러한 성질은 실제 양자 회로 설계 및 디버깅 과정에서도 큰 강점으로 작용한다.
🤔 그런데 왜 이게 특별한가?
보통 양자 상태는 큐비트 수가 늘어날수록 지수적으로 복잡해진다. 예를 들어 20큐비트만 되어도 2²⁰ = 1,048,576 개의 복소수 계수를 추적해야 하는 상황이 발생한다. 하지만 Clifford 회로에서는 상태를 직접 저장하지 않고도 오류의 퍼짐, 연산의 결과, 측정의 확률을 특정한 수학적 규칙에 따라 요약해서 처리할 수 있다. 이 때문에 양자 회로가 지수적 복잡성을 가지지 않고도 추적 가능한 구조로 바뀌는 것이다.
(쉽게 말해, 복잡한 벡터 대신 몇 개의 연산 규칙만 가지고도 회로를 따라갈 수 있게 되는 것이다.)🛠️ 실용적인 활용: 양자 회로 시뮬레이션 툴에서도 쓰인다
이 정리는 단순히 이론적인 이야기에서 그치지 않는다. 실제로 IBM, Google, Microsoft, IonQ 등 여러 기업에서 사용하는 양자 회로 시뮬레이터에는 Clifford 전용 시뮬레이션 모드가 따로 존재한다.
- 회로가 Clifford 연산으로만 구성되어 있다면 → 고전 컴퓨터로 매우 빠르게 시뮬레이션 가능
- 복잡한 상태 추적 없이도 → 오류 모델 테스트, 회로 검증, 실험 설계가 훨씬 쉬워진다
이는 특히 QEC 회로를 설계할 때 매우 큰 이점이 된다. 오류 정정 알고리즘을 고전 컴퓨터로 실험해보면서 정말로 오류가 정정되는지 확인할 수 있기 때문이다.
📌 한눈에 보기 – Clifford 연산이 중요한 이유
- 양자 연산의 안정성 확보
- 오류가 퍼지지 않도록 예측 가능성 유지
- 오류 추적 및 정정에 최적화
- 고전 시뮬레이션이 가능(Gottesman-Knill)
- QEC 회로 설계에 바로 적용 가능
4. Clifford 게이트와 양자 오류 정정(QEC)의 연결 – 설계와 구현의 관점에서

Clifford 게이트는 단순히 "Pauli 연산자를 보존한다"는 수학적 성질에 그치지 않는다. 실제로 양자 오류 정정(QEC)을 위한 회로를 설계할 때 Clifford 게이트는 거의 모든 핵심 구성 요소를 담당한다고 해도 과언이 아니다.
Steane 코드와 CSS 구조의 대표적 예시
Steane 코드는 고전 오류 정정 코드인 Hamming(7,4)를 기반으로 만들어진 CSS 구조의 양자 오류 정정 코드다. 이 코드에서는 신디롬 측정부터 복구 연산까지 전부 Clifford 게이트로 구현할 수 있다. 즉,
- 중첩을 만들기 위한 Hadamard(H),
- 오류 전파 및 상관관계 측정을 위한 CNOT,
- 위상 처리를 위한 Phase(S)
이 세 가지 연산만으로도 오류의 탐지와 복원이 가능하다는 뜻이다. 실제 양자 오류 정정 회로에서는 Clifford 게이트만으로 신디롬 측정, 오류 추적, 복구 연산까지 구성할 수 있다. 이는 단지 ‘가능하다’ 수준이 아니라 실제 하드웨어에서 정확하고 안정적으로 구현하기 위한 선택지가 된다는 의미다.
실험적 구현에서의 큰 장점
양자 회로는 아무리 이론적으로 완벽해도 실제 구현 과정에서 오류, 잡음, 정렬 문제, 하드웨어 비용과 같은 수많은 현실적 제약에 직면한다. 그런데 Clifford 연산은 대부분 다음과 같은 실험적 강점을 갖는다:
- ✅ 회로 깊이(depth)가 짧다 → 연산 시간이 짧아짐
- ✅ 게이트 수가 적다 → 오류 누적 가능성 감소
- ✅ 정렬과 보정이 쉽다 → 레이저나 제어 파형 정밀도 요구가 낮음
- ✅ 구조가 예측 가능하다 → 측정 오류에 강하고 디버깅이 쉬움
반면, 비-Clifford 연산(예: T 게이트)은 보통 더 복잡한 논리 연산을 수행해야 하고 이를 구현하기 위해 “매직 스테이트” 준비, 증폭, 필터링 같은 추가 회로가 필요하다. 결과적으로 Clifford-only 회로는 “실험실에서 당장 돌릴 수 있는 회로”로 QEC 코드의 실용적 프로토타입으로 가장 적합하다.
실제 예시: Steane vs Shor
- Steane 코드:
7개의 물리 큐비트를 사용해 1개의 논리 큐비트를 보호
→ 전체 회로가 Clifford 연산으로만 구성됨
→ 오류 추적, 시뮬레이션, 회로 설계 모두 간단
- Shor 코드:
9큐비트를 사용해 X와 Z 오류를 각각 다른 방식으로 정정
→ 초기 오류 정정 ‘개념 증명’ 코드
→ Clifford 연산으로도 핵심 원리가 성립됨
이 두 코드는 구조는 다르지만 공통적으로 Clifford 기반 설계라는 특징을 갖는다.
QEC에서 오류를 고치는 것은 마법처럼 한 번에 일어나는 일이 아니다. 오류를 감지하고 위치를 추정하고 적절한 연산으로 상태를 되돌리는
매우 체계적이고 반복적인 절차다. 그리고 이 전 과정의 대부분이 Clifford 연산으로 충분히 처리 가능하다는 것은 Clifford 게이트가 단순한 이론상의 도구를 넘어서 양자 컴퓨터 실현 가능성을 지탱하는 실전 무기라는 것을 의미한다.
5. Clifford 그룹과 비-Clifford 게이트 – 계산 완전성을 가르는 경계

앞에서 살펴봤듯이 Clifford 게이트는 오류 추적과 회로 설계에서 매우 유용한 도구다. 하지만, 아무리 유용해도 Clifford 연산만으로는 양자 컴퓨터의 진정한 잠재력을 모두 발휘할 수 없다. 이유는 간단하다. Clifford 연산만으로는 계산 완전(universality)을 달성할 수 없기 때문이다.
🔍 계산 완전성(universality)이란?
계산 완전성이란 임의의 양자 연산(즉, 어떤 양자 알고리즘이든)을 원하는 정확도로 근사할 수 있는 회로를 만들 수 있느냐를 뜻한다. 고전 컴퓨터에서는 AND, OR, NOT 만으로 모든 논리 회로를 구성할 수 있는 것처럼 양자 컴퓨터에서도 일정한 연산 집합만으로 모든 양자 알고리즘을 구현할 수 있어야 한다. 하지만 Clifford 게이트만으로는 이 조건을 충족하지 못한다.
❌ Clifford만으로는 넘을 수 없는 한계
Clifford 연산은 선형적이고, Pauli 연산자 사이에서만 움직이기 때문에 계산 표현력이 제한적이다. 쉽게 말해, Clifford 회로는 마치 “평면 위에서만 움직이는 기계” 같은 것이다. 그러다 보니 Shor의 알고리즘, 양자 Fourier 변환, 위상 기반 분류기와 같은 복잡한 회전을 포함하는 양자 알고리즘은 Clifford만으로 구현할 수 없다.
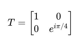
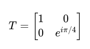
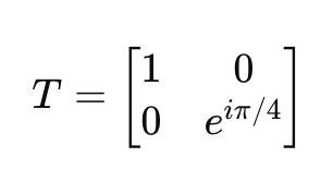
✅ 비-Clifford 게이트의 등장 – T 게이트
이 한계를 넘기 위해 필요한 것이 바로 비-Clifford 게이트다. 그 대표 주자가 T 게이트이다.

T 게이트는 위상에 미묘한 변화를 주는 연산으로 Clifford 게이트에는 없는 ‘곡선의 자유도’를 회로에 제공해 준다. Clifford 게이트만으로는 그릴 수 없는 양자 회전의 곡선을 T 게이트가 가능하게 해주는 셈이다.
🧠 그래서 실전에서는 어떻게 하나?
현대 양자 알고리즘은 대부분 다음과 같은 구성으로 되어 있다:
- Clifford 게이트로 회로의 뼈대를 만들고
- 필요한 위치에 T 게이트를 삽입해서 계산 완전성을 확보한다
이 방식은 Clifford의 안정성과 예측 가능성 그리고 T 게이트의 표현력을 모두 챙길 수 있는 전략이다.
📌 한눈에 보기 – Clifford 게이트와 계산 완전성
- Clifford 게이트는 QEC와 안정적인 회로 설계에 최적화된 기초 도구이다.
- 계산 완전성을 위해서는 Clifford 연산만으로는 부족하다.
- T 게이트는 고급 알고리즘 구현에 필요한 비-Clifford 연산이다.
- Clifford는 기초 체력, T 게이트는 고급 기술이라 할 수 있다.
6. Clifford만으로 가능한 것 vs 불가능한 것 – 경계선 그리기

지금까지 Clifford 게이트의 구조와 활용을 살펴보면 정말 많은 것들을 이 연산 집합만으로 해낼 수 있다는 사실을 알 수 있다. 하지만 동시에 ‘계산 완전성’이라는 큰 벽은 넘을 수 없다는 점도 확인했다. 여기서 한 번 Clifford만으로 가능한 일과 그렇지 않은 일을 간단히 비교해보자.
Clifford만으로 가능한 것 Clifford만으로는 불가능한 것 Pauli 오류 정정(QEC의 기본 구조) Shor 알고리즘, 양자 Fourier 변환 신디롬 측정 및 복원 회로 계산 완전성(universality) 확보 고전 시뮬레이션 (Gottesman-Knill) 위상 기반 회전 연산 구현 얽힘 생성, 얕은 회로 구조 설계 양자 머신러닝, 깊은 회로 설계 실험적 오류 추적 및 디버깅 범용 양자 계산 플랫폼 설계 📌 한눈에 보기 – Clifford의 한계와 비-Clifford의 필요성
- Clifford 게이트는 실험적 구현과 기본 회로 설계에는 충분하다.
- 하지만 양자 우위(quantum advantage)를 이루기엔 한계가 있다.
- 비-Clifford 게이트가 있어야 계산 완전성과 복잡한 알고리즘 구현이 가능하다.
- Clifford는 출발점, 비-Clifford는 목적지로 가는 열쇠다.
7. Clifford 기반 양자 회로의 실제 활용 사례 – 기업과 응용 현황 간단 정리

Clifford 게이트는 이론적인 개념에 머물지 않는다. 실제 양자 컴퓨터 개발 현장에서도 회로 안정성, 오류 정정, 얽힘 제어 등의 핵심 도구로 널리 활용되고 있다. 다만 이 글에서는 글의 길이상 각 사례를 간단히 소개하는 데 그치고 각 기업별 QEC 회로와 기술 적용 사례는 별도 블로그 글에서 자세히 다룰 예정이다.
IBM
- 기본 게이트 셋에 H, S, CNOT 등 Clifford 연산자 포함
- T 게이트는 ‘매직 스테이트’로 간접 구현
- Clifford 회로는 QEC 시뮬레이션, 테스트 설계에 효율적
🔗 IBM Qiskit 공식 문서
IonQ
- 이온트랩 구조로 큐비트 간 연결성이 뛰어남
- Clifford-only 오류 정정 회로 설계가 자유롭고 효율적
- Steane, CSS 코드 실험 구현에 적합한 테스트베드
🔗 관련글: [이온트랩 양자 컴퓨터란?] 참고
Google Sycamore
- Surface code 오류 정정 실험에 Clifford 게이트 적극 활용
- 대부분의 연산: CNOT, H, S 기반
- T 게이트는 최소화, Clifford 연산이 설계의 중심
🔐 양자 암호·통신
- Clifford 연산은 보안을 건드리지 않고 상태만 변형 가능
- 양자 텔레포테이션, 키 분배(QKD), 암호화에서 핵심 도구로 활용됨
- 예: H + CNOT 조합으로 얽힘 생성, 상태 제어
📌 핵심 요약 (Key Takeaways)
- Clifford 게이트는 Pauli 연산자를 보존하는 특별한 유니터리 연산이다.
- 대표 게이트인 H, S, CNOT만으로도 많은 양자 회로를 구성할 수 있다.
- Clifford 연산은 오류 정정(QEC)과 시뮬레이션에 매우 유리하며, 연산적으로 닫힌 구조를 가진다.
- Gottesman-Knill 정리에 따라 Clifford-only 회로는 고전 컴퓨터로도 효율적 시뮬레이션이 가능하다.
- Steane, Shor, CSS 코드 등 주요 QEC 구조는 대부분 Clifford 연산으로 구현된다.
- 하지만 Clifford만으로는 계산 완전성을 달성할 수 없으며 T 게이트 같은 비-Clifford 연산이 필요하다.
- 실제 기업들(IBM, IonQ, Google)은 Clifford 기반으로 회로를 설계하며 양자 오류 정정, 얽힘 제어, 양자 암호 등 다양한 분야에 활용 중이다.
🔗 함께 보면 좋은 글
👉 양자 컴퓨터는 왜 에러에 민감한가? – Quantum Error Correction(QEC)이 등장한 이유
양자 컴퓨터는 왜 에러에 민감한가? – Quantum Error Correction(QEC)이 등장한 이유
양자 컴퓨터는 놀라운 계산 속도를 가질 수 있지만, 극도로 민감한 큐비트의 특성 때문에 실용화에 어려움을 겪고 있습니다. 이 글에서는 양자 오류 수정(Quantum Error Correction, QEC)의 원리와 그 중
quantum-city.net
양자 오류 정정의 원리 – QEC는 왜 가능할까?
양자 정보는 왜 복제할 수 없을까? QEC는 어떻게 오류를 감지하고 수정하는가? 고전 오류 정정과의 차이를 통해 양자 오류 정정의 핵심 원리를 설명합니다📌 이 글은 공식 도메인에서도 제공됩
quantum-city.net
👉 양자 게이트는 어떻게 양자 컴퓨터를 움직이는가? 회로에서 알고리즘까지
양자 게이트는 어떻게 양자 컴퓨터를 움직이는가? 회로에서 알고리즘까지
양자 게이트는 양자 컴퓨터의 핵심 연산 단위입니다. 이 글에서는 게이트의 작동 원리부터 알고리즘(Grover, QFT, Shor)까지 단계별로 설명합니다.📌 이 글은 공식 도메인에서도 제공됩니다 👉 quant
quantum-city.net
👉 Shor 코드와 Steane 코드 완전 해설 – 대표 QEC 방식과 정밀도 임계값까지
Shor 코드와 Steane 코드 완전 해설 – 대표 QEC 방식과 정밀도 임계값까지
Shor 코드와 Steane 코드로 대표되는 양자 오류 정정(QEC)의 원리와 구조를 완벽 해설합니다. 정밀도 임계값 개념과 실용화 조건도 함께 정리합니다.📌 이 글은 공식 도메인에서도 제공됩니다 👉 qu
quantum-city.net
❓ 자주 묻는 질문 (FAQ)
Q1. Clifford 게이트란 정확히 무엇인가요?
A1. Clifford 게이트는 Pauli 연산자(X, Y, Z)를 다시 Pauli 연산자로 바꾸는 유니터리 연산입니다. 대표적으로 Hadamard(H), Phase(S), CNOT 게이트가 포함되며, 양자 오류 정정과 회로 안정성에 필수적인 구성요소입니다.
Q2. 왜 Clifford 게이트만으로는 양자 컴퓨터를 완전히 구현할 수 없나요?
A2. Clifford 연산은 표현력에 한계가 있어 ‘계산 완전성(universality)’을 달성할 수 없습니다. 복잡한 회전 연산이나 고급 알고리즘 구현에는 비-Clifford 게이트, 특히 T 게이트 같은 위상 연산이 필요합니다.
Q3. Clifford 연산은 어디에 사용되나요?
A3. 오류 정정 회로(QEC), 얽힘 제어, 양자 암호, 양자 텔레포테이션 등 다양한 양자 정보 처리 시스템에서 사용됩니다. IBM, Google, IonQ 등 주요 기업도 Clifford 기반 회로로 실험을 설계하고 있습니다.
Q4. Clifford 회로는 고전 컴퓨터로 시뮬레이션이 가능한가요?
A4. 네, 가능합니다. Gottesman-Knill 정리에 따르면 Clifford 연산으로만 구성된 회로는 고전 알고리즘으로도 빠르게 시뮬레이션할 수 있습니다. 이 점은 QEC 회로 검증 및 시제품 개발에 큰 장점이 됩니다.
Q5. Clifford 게이트는 왜 QEC에 유리한가요?
A5. 오류가 Clifford 회로를 거쳐도 Pauli 형태로 유지되기 때문에 오류의 추적과 복원이 수학적으로 단순해지고 신뢰성이 높아집니다. 또한 대부분의 신디롬 측정 연산도 Clifford로 구성됩니다.
'양자컴퓨터' 카테고리의 다른 글
Shor 코드와 Steane 코드 완전 해설 – 대표 QEC 방식과 정밀도 임계값까지 (0) 2025.04.21 양자 오류 정정의 원리 – QEC는 왜 가능할까? (0) 2025.04.17 양자 컴퓨터는 왜 에러에 민감한가? – Quantum Error Correction(QEC)이 등장한 이유 (0) 2025.04.16 디코히런스란 무엇인가? – 양자 정보가 고전 세계로 무너지는 순간 (0) 2025.04.15 이온트랩 양자 컴퓨터란? (Ion Trap) 레이저로 큐비트를 조절하는 기술의 원리와 미래, 그리고 아이온큐 (0) 2025.04.11