Shor 코드와 Steane 코드 완전 해설 – 대표 QEC 방식과 정밀도 임계값까지
양자 컴퓨터는 세상을 바꿀 차세대 기술로 주목받지만, 그 앞길에는 ‘오류’라는 장벽이 있으며, 큐비트는 외부 환경에 노출되면 쉽게 무너진다. 따라서 양자 컴퓨팅의 실현 가능성을 결정짓는 핵심 기술이 바로 양자 오류 정정(Quantum Error Correction, QEC)이다. 이 글에서는 QEC의 대표적 두 코드인 Shor 코드와 Steane 코드, 그리고 실용화의 기준이 되는 정밀도 임계값(Threshold Theorem)까지 차례로 정리한다.

1. QEC는 왜 필요한가 – 오류가 없는 양자 컴퓨터는 존재하지 않는다

양자 컴퓨터는 이론적으로 엄청난 계산 능력을 지녔지만 실험적으로는 매우 쉽게 오류를 일으키는 장치이다.
큐비트는 디코히런스(decoherence), 게이트 노이즈, 측정 오류 등 다양한 원인에 의해 본래의 정보를 빠르게 잃어버릴 수 있다.
이런 상황에서는 연산을 수행할수록 정답에서 멀어지는 결과가 발생하기 때문에 오류를 실시간으로 감지하고 수정할 수 있는 장치가 반드시 필요하다.
특히 디코히런스는 큐비트가 외부 환경과 상호작용하면서 양자 정보를 잃는 주된 원인으로 이를 억제하거나 정정하는 메커니즘이 QEC에서 핵심적이다. 이러한 기술이 바로 양자 오류 정정(Quantum Error Correction, QEC)이다.
하지만 QEC는 단순한 오류 탐지 시스템이 아니다. 정보는 복제할 수도 없고 상태를 측정하면 붕괴되는 양자 정보의 특성상 고전 오류 정정과는 전혀 다른 전략이 요구된다. QEC는 이 패러독스를 극복하기 위한 수학적·물리적 설계의 집약체다.
2. Shor 코드란? – 최초의 완전한 양자 오류 정정 코드

양자 오류 정정(QEC)이 본격적으로 가능해졌다고 평가받는 첫 계기는 1995년 피터 쇼어(Peter Shor)가 제안한 Shor 코드였다.
이 코드는 단일 큐비트의 양자 상태를 9개의 물리 큐비트에 인코딩하여 오류가 발생하더라도 이를 감지하고 수정할 수 있도록 설계되었다. 하지만 이 구조가 의미를 갖기 위해서는 먼저 양자 오류란 정확히 무엇인지를 이해할 필요가 있다.
🔹 양자 오류는 비트만 바뀌는 게 아니다
고전 컴퓨터에서는 오류가 발생하면 '0'이 '1'로 바뀌는 식의 단순한 비트 플립이 대부분이다. 양자에서는 이보다 복잡한 문제가 생긴다. 큐비트는 |0⟩, |1⟩ 뿐 아니라 그 사이의 중첩 상태(superposition)를 갖기 때문에, 오류는 이 복잡한 상태의 방향 자체를 바꾸어 버릴 수 있다.
대표적인 양자 오류는 다음 두 가지로 분류된다:
- X 오류 (비트 플립 오류): |0⟩와 |1⟩이 서로 뒤바뀌는 오류. 고전적인 비트 오류와 유사하다.
- Z 오류 (위상 플립 오류): 상태의 부호가 바뀌는 오류. 예를 들어 α∣0⟩+β∣1⟩이α∣0⟩−β∣1⟩로 바뀌는 식이다. 겉으로 보기엔 같은 상태 같지만, 계산이나 측정 결과에는 큰 차이를 만들어낸다.
이 두 오류가 동시에 일어나면 Y 오류라고도 부른다. 이러한 오류 모델에 대한 상세한 설명은 이전 글 [QEC는 왜 가능한가?] 에서 소개한 바 있다.
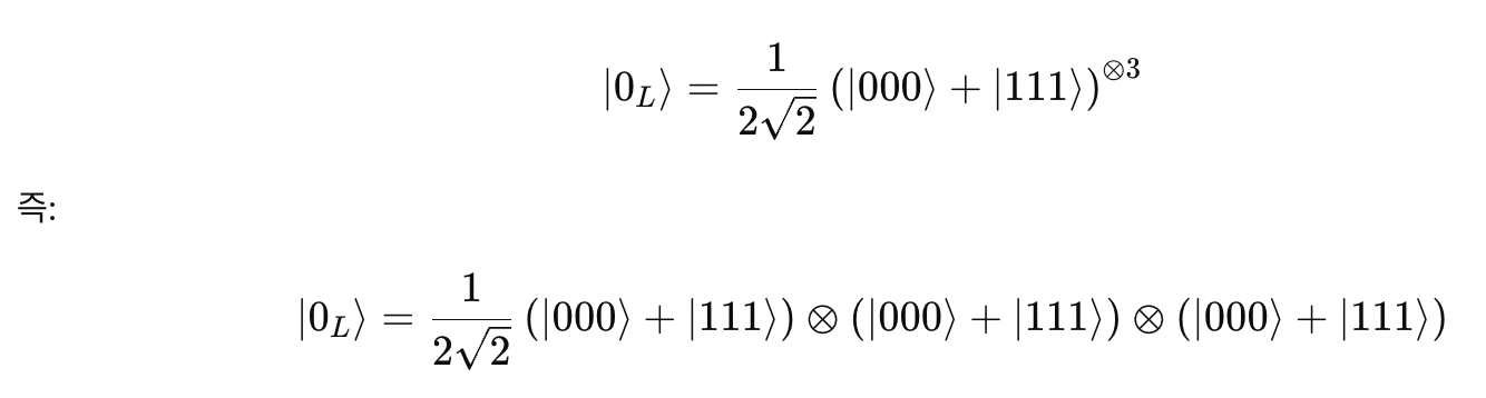
🔹 논리 상태∣0L ⟩는 무엇인가?
Shor 코드에서 등장하는 기호 중에 낯설게 느껴질 수 있는 것이 바로 ∣0L ⟩ 같은 표현이다. 여기서 L은 논리 큐비트(logical qubit)를 의미하며, 실제 하드웨어 상의 큐비트(물리 큐비트) 여러 개를 묶어서 구성한 추상적인 큐비트 단위라고 보면 된다. 즉, ∣0L ⟩는 단순히 한 큐비트를 의미하는 게 아니라 “복수의 큐비트에 분산 저장된, 오류 정정이 가능한 ∣0⟩ 상태”를 의미하는 셈이다.
이처럼 여러 큐비트를 하나의 안정적인 상태로 묶는 과정을 논리 큐비트 인코딩이라 부른다. Shor 코드에서는 이 논리 상태를 다음과 같이 인코딩한다:

각 3큐비트 블록은 비트 플립(X 오류)을 정정하고, 전체 블록 간 위상 관계는 위상 플립(Z 오류)을 정정한다.
🔹 Shor 코드의 구조 – 비트 플립과 위상 플립을 분리 정정
Shor 코드는 다음과 같이 2단계로 오류를 감지하고 정정한다:
- 비트 플립(X 오류) 정정: 각 3큐비트 블록은 중복 저장처럼 동작. 다수결로 오류 위치를 추정하여 수정
- 위상 플립(Z 오류) 정정: 3블록 전체의 상관관계를 측정. 위상이 어긋난 블록을 탐지하고 보정
이처럼 Shor 코드는 비트와 위상 오류를 독립적으로 다룰 수 있도록 설계된 최초의 QEC 코드이다.
특히 위상 오류는 고전 오류 정정 개념에는 없는 부분으로 양자 정보의 복잡성을 상징하는 대표적인 오류 유형이라 할 수 있다.
이에 대해서는 [디코히런스란 무엇인가?] 글에서도 자세히 다룬 바 있다.
🔹 왜 9큐비트나 필요할까?
이런 방식으로 정정이 가능하려면,
- 오류를 감지할 수 있을 정도의 정보 중복이 있어야 하고,
- 측정 시 논리 상태는 붕괴되지 않아야 하며,
- 신디롬 측정을 위한 보조 큐비트와 간접 연산이 가능해야 한다.
이 모든 조건을 만족시키려면 단순한 3~4큐비트 구조로는 부족하다. Shor 코드에서 9개의 큐비트를 사용하는 이유는 비트 플립과 위상 플립을 서로 간섭하지 않고 감지·정정하기 위한 최소한의 구조이기 때문이다.
✅ Shor 코드 한눈에 정리
- QEC가 이론에서 현실로 가능하다는 것을 처음 증명한 구조
- X 오류(비트 플립)과 Z 오류(위상 플립)을 분리 정정 가능
- 논리 큐비트 ∣0L⟩를 9개의 물리 큐비트에 인코딩
- 오류 발생 시 손실 없이 복원 가능한 설계를 갖춤
3. Steane 코드의 구조 – CSS 코드의 대표 사례

Shor 코드 이후 QEC의 효율을 높이기 위한 다양한 방식들이 연구되기 시작했다. 그중 가장 영향력 있는 코드 중 하나가 바로 1996년 앤드루 스틴(Andrew Steane)이 제안한 Steane 코드이다. 이 코드는 총 7개의 큐비트로 하나의 논리 큐비트를 인코딩하면서도 단일 큐비트의 X 및 Z 오류를 모두 정정할 수 있는 효율적인 구조를 제공한다.
🔹 CSS 코드란? – 고전 오류 정정 코드를 양자에 적용하다
먼저, 여기서 말하는 CSS 코드는 우리가 흔히 웹 디자인에서 사용하는 스타일 시트(Cascading Style Sheets)와는 전혀 관계가 없다. 이 글에서의 CSS는 Calderbank–Shor–Steane의 약자로, 양자 오류 정정을 위한 특정한 코드 구조를 의미한다.
Steane 코드는 이 CSS 구조의 대표적인 예시로 두 개의 고전 오류 정정 코드를 결합해 양자 상태에서 발생할 수 있는 비트 플립(X 오류)과 위상 플립(Z 오류)을 각각 정정하도록 설계되어 있다. 이 방식의 핵심은 다음과 같다:
- 하나의 고전 코드는 비트 플립 오류를 잡아내기 위한 구조로 사용된다.
- 다른 하나는 위상 플립 오류를 정정하는 데 사용된다.
고전 선형 코드의 수학적 성질을 양자 상태 전체에 적용할 수 있다는 점에서 CSS 코드는 양자 오류 정정의 구조적 확장성을 상징하는 매우 중요한 방식이다.
🔹 Steane 코드는 어떤 고전 코드를 활용했을까?
Steane 코드는 바로 Hamming(7,4) 코드를 기반으로 한다. 이는 4비트의 데이터를 7비트로 확장하여 1비트 오류를 감지하고 수정할 수 있는 고전 오류 정정 코드다.
※ Hamming(7,4) 코드의 구조와 작동 방식에 대한 자세한 설명은 [양자 오류 정정의 원리 – QEC는 왜 가능한가?] 글에서 확인할 수 있다.
이 코드를 양자에 응용할 때는 다음과 같은 방식으로 확장된다:
- C1 =C2 = Hamming(7,4) 코드로 설정
- 이 둘의 성질을 이용하여 양자 중첩 상태 전체에 대한 오류 정정이 가능하도록 구성
결과적으로 7개의 물리 큐비트를 사용하면서도 Shor 코드처럼 9큐비트가 필요하지 않고도 X/Z 오류를 모두 정정할 수 있게 된 것이다. 이러한 7큐비트 기반의 양자 오류 정정 회로는 실용성과 이론적 정교함을 동시에 갖춘 대표적인 예로 꼽힌다.
🔹 구조적으로 어떻게 오류를 잡아내는가?
Steane 코드 역시 X 오류, Z 오류를 구분해서 감지하고 정정한다. 하지만 Shor 코드와는 달리, 그 연산자 구조가 더 대칭적이고 수학적으로 단순화되어 있다.
- X 오류 정정: Z-기반 관측 연산자를 사용해, 고전적인 방식으로 비트 오류 위치를 추적
- Z 오류 정정: X-기반 연산자를 활용해 위상 정보의 왜곡을 탐지
이때도 핵심은 신디롬 측정(syndrome measurement)이다. 보조 큐비트를 활용해 연산자 결과를 읽어들이고, 그 결과로부터 오류 유형과 위치를 간접적으로 유추한다. (※ 신디롬 측정의 원리는 양자 오류 정정의 원리 에서도 자세히 다룬 바 있다.)
🔹 왜 Steane 코드는 실험적으로 유리할까?
Steane 코드가 실제 양자 하드웨어에서 자주 쓰이는 이유는 다음과 같다:
- Clifford 게이트와 호환성이 높다: 회로 구현이 상대적으로 간단하고, 측정 연산과도 잘 연결됨
- 큐비트 수가 적다: 7큐비트로 단일 논리 큐비트를 보호할 수 있어 리소스가 절약됨
- 대칭성 있는 설계: X와 Z 오류 처리가 구조적으로 유사하여, 구현에 일관성이 있음
특히 이온트랩 기반 시스템에서는 Steane 코드의 구조가 레이저 기반 게이트 설계와도 잘 맞아떨어지기 때문에 QEC 실험의 초기 모델로 자주 채택되어 왔다. 특히 IonQ와 같은 기업은 실제 QEC 실험 구현에서 Steane 코드를 활용한 테스트를 반복적으로 진행하며 이 구조의 안정성을 검증하고 있다.
✅ Steane 코드 한눈에 정리
- Hamming(7,4) 코드를 기반으로 한 CSS 구조의 대표적인 QEC 코드
- 7큐비트만으로 X/Z 오류 모두 정정 가능
- 신디롬 측정으로 오류의 유형과 위치를 간접 추론 및 보정
- Clifford 연산 기반, 실험 구현이 쉬워 QEC 테스트에 자주 활용
4. 정밀도 임계값(Threshold Theorem)이란? – 실용화를 가늠하는 기준

지금까지 우리는 QEC의 구조가 실제로 어떻게 오류를 감지하고 수정하는지를 살펴봤다. 하지만 한 가지 중요한 질문이 남아 있다.
"이 복잡한 오류 정정 시스템이 과연 실제 양자 컴퓨터 위에서도 제대로 작동할 수 있을까?"
바로 이 질문에 답하기 위한 핵심 개념이 정밀도 임계값(Threshold Theorem)이다. 이 이론은 QEC가 실험적으로 작동 가능한지를 판단할 수 있는 기술적 기준점이기도 하다.
🔹 오류를 줄이는 것만으로는 부족하다
양자 시스템에서는 단순히 오류율을 낮추는 것만으로는 안정적인 계산이 불가능하다. 왜냐하면 오류는 연산 중에도 끊임없이 발생하고 큐비트 수가 늘어날수록 에러의 누적 가능성도 함께 커지기 때문이다.
오류 정정을 적용하려면 오히려 더 많은 큐비트와 연산이 필요하기 때문에 정정 시스템이 효과적으로 작동하려면 다음과 같은 조건이 필요하다:
- 물리 큐비트 자체의 오류율이 일정 수준 이하일 것
- 신디롬 측정 및 보정 연산도 오류를 최소화할 것
- 오류 간 간섭(상관 오류)이 크지 않을 것
이 모든 조건을 충족했을 때 비로소 QEC는 정정 효과가 누적되는 것이 아니라 전체 시스템의 오류율을 오히려 줄이는 방향으로 작용하게 된다.
🔹 정밀도 임계값이란 무엇인가?
정밀도 임계값은 다음 질문에 대한 수학적 답이다:
“물리 큐비트의 오류율이 어느 수준 이하로 떨어지면 논리 큐비트의 오류율을 QEC를 통해 무한히 작게 만들 수 있을까?”
이 임계값(threshold)은 QEC 코드의 구조와 하드웨어 특성에 따라 달라지며 이론적으로는 약 1% 이하의 물리 오류율이 보편적인 기준으로 제시되어 왔다. 즉, 물리 큐비트의 오류율이 이 임계값보다 낮다면 더 많은 큐비트를 사용하더라도 논리적 안정성은 점점 향상될 수 있다는 뜻이다. 이는 곧 “규모 확장이 가능한 QEC”, 즉 실용화 가능한 양자 컴퓨터가 존재할 수 있다는 수학적 근거가 된다.
🔹 실험적 정밀도 임계값은 어느 수준일까?
실제 실험에서는 이 이론적 임계값을 달성하는 것이 가장 큰 도전 과제였다. 하지만 최근에는 여러 기업들이 임계값에 근접한 수준까지 도달하고 있다.
- IBM은 초전도 큐비트 기반 QEC에서 수 % 단위의 오류율을 꾸준히 개선해왔고,
- IonQ는 이온트랩 시스템의 높은 게이트 정밀도를 통해 임계값 아래에서 단일 큐비트 연산을 구현하고 있다.
- 일부 surface code 실험에서는 0.1~0.01 수준까지 떨어진 사례도 보고된 바 있다.
이런 움직임은 QEC가 단순한 이론이 아닌 실제 양자 컴퓨터의 실용화를 가늠하는 핵심 기술 조건임을 보여주는 사례다. (
🔹 QEC의 미래는 임계값을 넘는가에 달려 있다
결국 정밀도 임계값은 단순한 수치 이상의 의미를 갖는다. 양자 컴퓨터가 단순 실험실 기기에서 벗어나 산업적·상업적 용도로 확장되기 위해서는 이 기준을 넘어서야 한다. 그리고 그 경계선을 넘기 위해, Shor 코드와 Steane 코드 같은 QEC 구조들이 단순하면서도 정확한 오류 보정 블록으로 기능할 수 있어야 한다. 임계값을 넘는 순간 양자 컴퓨터는 단순히 “가능한 기술”이 아니라 “확장 가능한 기술”로 전환된다.
✅ 정밀도 임계값 한눈에 정리
- QEC 작동의 기준선: 물리 큐비트 오류율이 이 기준 이하면 정정 효과가 누적됨
- 보편적 기준: 일반적으로 1% 이하가 실용화를 위한 마지노선
- 임계값 초과 시 효과: 큐비트를 늘릴수록 논리 오류율이 감소
- 현재 기술 현황: 주요 기업들이 이 임계치에 빠르게 근접 중
오늘날 QEC 분야는 Surface code, LDPC 코드처럼 훨씬 더 강력한 구조로 발전하고 있다. 그럼에도 Shor 코드와 Steane 코드는 여전히 의미 있는 존재로 남아 있다.
Shor는 양자 오류 정정이 실제로 가능하다는 '개념 증명'의 시초였고, Steane은 고전 코드의 수학적 구조를 양자에 적용한 '구조적 정교화'의 모델이었다.
이 두 코드는 QEC의 이론적 뿌리이자, 교육적·실험적 기본단위로서 지금도 활발히 활용되고 있다.
❓ FAQ
Q1. Shor 코드와 Steane 코드 중 어느 것이 더 효율적인가요?
A1. 일반적으로 Steane 코드가 더 적은 큐비트로 동일한 기능을 수행하므로 실험적으로는 Steane 코드가 더 선호된다. 하지만 Shor 코드는 구조가 단순하고 직관적이기 때문에 교육 및 개념 설명에 유리하다.
Q2. 정밀도 임계값은 실제로 달성 가능한가요?
A2. 현재 주요 기업과 연구소들이 1% 미만의 물리 오류율을 보고하고 있으며, 이론적 임계값과의 격차를 빠르게 좁히고 있다.
Q3. Steane 코드도 실제 하드웨어에서 구현된 적이 있나요?
A3. 그렇다. 특히 이온트랩 기반 양자 컴퓨터에서는 Steane 코드를 활용한 오류 정정 실험이 다수 진행되었다.