-
목차
양자컴퓨터는 단순히 더 빠른 계산기를 넘어서, 우리가 익숙한 컴퓨터의 한계를 근본부터 재정의하는 기술이다. 기존 컴퓨터가 0과 1로 이루어진 비트를 처리하는 데 반해 양자컴퓨터는 중첩과 얽힘이라는 양자역학의 성질을 활용해 정보의 새로운 차원을 연다. 이는 기존의 방식으로는 해결이 어려웠던 복잡한 문제들—예컨대 소인수 분해, 분자 시뮬레이션, 최적화 문제 등—을 단시간에 해결할 가능성을 열어준다. 이 글에서는 양자컴퓨터의 작동 원리부터 큐비트의 개념, 주요 알고리즘과 응용 분야, 그리고 상용화를 위한 과제까지 하나씩 짚어본다.

1. 양자컴퓨터란? 기존 컴퓨터와의 차이점
양자컴퓨터(Quantum Computer)는 양자역학의 원리를 이용해 정보를 처리하는 차세대 컴퓨터다. 우리가 일상적으로 사용하는 기존 컴퓨터는 정보를 0과 1로 구성된 비트(bit)로 처리한다. 반면, 양자컴퓨터는 양자 비트(Qubit)를 사용하며, 이는 0과 1이 동시에 존재할 수 있는 '중첩(superposition)' 상태를 기반으로 한다.
이로 인해 양자컴퓨터는 특정 문제에서 기존 컴퓨터보다 훨씬 더 빠른 연산이 가능하다. 특히 복잡한 조합 최적화 문제, 소인수 분해, 양자 시뮬레이션 등에서는 그 차이가 극명하다. 예를 들어,\ 기존 컴퓨터로는 수천 년이 걸릴 수 있는 계산을 양자컴퓨터는 몇 분 만에 해결할 수 있을 것으로 기대된다. 실제로 구글은 2019년, 자사의 양자컴퓨터가 기존 슈퍼컴퓨터보다 특정 연산에서 양자 우월성(Quantum Supremacy)을 달성했다고 발표했다. (관련 내용 보기). 마이크로소프트 또한 Azure Quantum을 통해 다양한 산업 분야에 양자컴퓨팅 솔루션을 제공하고 있다. 👉 Microsoft Azure Quantum에서 응용 사례와 개발 툴을 확인할 수 있다.
2. 양자 비트(Qubit)의 개념과 원리

양자컴퓨터의 기본 단위는 양자 비트, 즉 큐비트(Qubit)이다. 큐비트는 고전적 비트와 달리 중첩과 얽힘 상태를 취할 수 있으며 양자 정보 처리를 가능하게 한다.
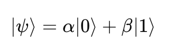
2.1 큐비트의 수학적 표현
큐비트의 상태는 두 기저 상태 |0⟩과 |1⟩의 선형 결합으로 표현된다:

여기서 알파와 베타는 복소수 확률 진폭이며, 측정시 각각의 상태가 나올 확률은 절대값 알파의 제곱, 절대값 베타의 제곱이다. 이 정규화 조건, 알파의 절대값 제곱과 베타의 절대값 제곱의 합은 1 이라는 조건,은 모든 가능한 상태의 측정 확률의 합이 반드시 1이어야 한다는 보른의 규칙에 따른 것이다. 이 조건은 양자역학의 기본적인 확률 해석 원리로, 실제 물리적 실험에서도 이를 확인할 수 있다.
2.2 큐비트의 이론적 기반
큐비트 개념은 양자역학의 공리, 특히 상태 벡터 공리와 보른의 규칙(확률 해석)에서 출발한 수학적 개념이다. 모든 양자 상태는 힐베르트 공간의 벡터로 표현되며, 상태 벡터 간의 선형 결합은 새로운 상태를 형성한다. 이 수학적 기반 위에서, 큐비트는 두 상태 |0⟩, |1⟩의 선형 결합으로 표현된다고 정의된다.
이 개념은 이론적 정의로 먼저 제안된 후, 중첩 상태를 보여주는 다양한 실험(예: 이중 슬릿 실험, Rabi 진동 실험 등)을 통해 실제 물리계에서도 그러한 상태가 존재한다는 사실이 입증되었다. 따라서 큐비트는 수학적 정의와 물리적 실현이 일치하는 개념으로 확립되었다.
2.3 큐비트 개념의 기원과 디락 표기법
큐비트는 1980년대부터 양자 정보 처리의 필요성이 대두되면서 등장한 개념으로, 1995년 벤자민 슈마허(Benjamin Schumacher)에 의해 명확하게 정의되었다. 슈마허는 양자 정보를 고전적인 비트 대신 양자 상태로 기술할 수 있음을 수학적으로 정리하며 '큐비트'라는 개념을 도입했다.
큐비트를 표현하는 , |0>, |1> 기호는 디락 기호(Dirac notation)로 불리며 폴 디락(Paul Dirac)이 양자 상태를 표현하기 위해 제안했다. 이는 힐베르트 공간상의 벡터를 기저 상태로 나타낸 것으로, 큐비트는 2.1에서의 모양처럼 선형 결합된 상태를 가질 수 있다.
디락 표기법은 양자역학의 다음 공리들과 직접 연결된다:
- 상태 벡터 공리: 양자 상태는 힐베르트 공간의 벡터이다.
- 관측 공리: 측정은 정규직교 기저의 연산자(관측량)에 따라 이루어진다.
- 보른의 규칙: 상태 벡터와 기저 벡터의 내적 크기의 제곱이 측정 확률이다.
결국, 큐비트는 단순한 이진 정보 단위가 아닌, 양자역학의 공리적 기반 위에서 정의된 확률적, 선형적인 정보 단위인 셈이다.
2.4 큐비트 구현 방식과 종류
양자컴퓨터에서 큐비트를 구현하는 방법은 다양하다. 대표적인 방식은 다음과 같다:
- 초전도 큐비트: 극저온에서 작동하는 초전도 회로를 이용하며 구글과 IBM이 주로 사용한다.
- 이온 트랩 큐비트: 전기장에 갇힌 이온을 레이저로 제어하는 방식. 정밀도가 높고 장기 안정성이 뛰어나다.
- 광자 큐비트: 빛의 편광 상태를 이용하며 정보 전송에 강점이 있다.
- 스핀 큐비트: 전자의 스핀 상태를 활용하며 반도체 기술과의 융합 가능성이 높다.
각 구현 방식은 제어의 용이성, 오류율, 확장성 등에서 서로 장단점이 있으며 현재까지는 다양한 플랫폼이 병렬적으로 연구되고 있는 단계다.
3. 양자 얽힘과 중첩: 양자컴퓨팅의 핵심 기술

양자컴퓨터의 성능을 결정짓는 두 가지 핵심 개념은 중첩(superposition)과 얽힘(entanglement)이다.
3.1 중첩이란 무엇인가?
중첩은 양자계가 하나의 확정된 상태가 아니라, 여러 상태의 선형 결합으로 존재하는 것을 의미한다. 예를 들어 하나의 큐비트는 |0⟩과 |1⟩ 상태가 동시에 존재하는 형태로 기술될 수 있다:

이 개념은 고전역학에서는 존재하지 않는 양자적 특성으로 양자 알고리즘의 병렬성의 핵심 원천이 된다.
3.2 얽힘이란 무엇인가?
얽힘은 두 개 이상의 큐비트가 서로 강하게 연결되어, 한 큐비트의 상태가 다른 큐비트의 상태를 즉각적으로 결정하는 양자적 상관 관계다. 대표적인 얽힘 상태는 다음과 같이 표현된다:

이 표현에서 |00>, |11> 은 두 개의 큐비트가 각각 |0⟩ 또는 |1⟩ 상태에 있을 때의 복합 상태를 의미하며 |01>, |10> 과 같은 상태들도 존재한다. 이들은 두 큐비트가 독립적으로 특정 상태에 있는 경우를 나타내며 얽힘 상태는 이러한 상태들의 선형 결합으로 생성된다.
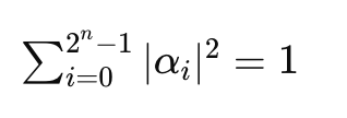
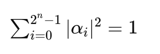
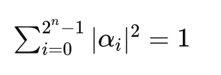
또한 세 큐비트 이상의 얽힘 상태도 가능하며, 예를 들어 |001>, |111>, |010> 같은 표현은 각각의 큐비트가 특정한 상태에 있음을 나타낸다. 세 큐비트 얽힘 상태의 대표적인 예는 GHZ 상태이다:

이러한 다중 큐비트 상태의 경우에도, 상태 벡터의 정규화 조건이 반드시 만족되어야 한다. 즉,

여기서 n은 큐비트의 개수이며 이 식은 가능한 모든 상태의 측정 확률의 총합이 1이 되어야 한다는 양자역학의 확률 해석(보른 규칙)에서 유도된다. 이는 실험적으로도 검증된 양자계의 기본 원칙이다.
이러한 얽힘은 큐비트 간의 깊은 상호작용을 가능하게 하며, 양자컴퓨터의 병렬성과 정보 공유 능력을 극대화한다.
👉 양자 얽힘의 개념과 이를 입증한 실험들에 대해 더 알고 싶다면 양자 얽힘이란?-아인슈타인이 ‘유령 같은 원격 작용’이라 불렀던 현상을 참고해보자.
3.3 큐비트에 중첩과 얽힘이 주는 의미
큐비트는 중첩 상태에 의해 고전적인 비트보다 훨씬 더 많은 정보를 표현할 수 있고, 얽힘을 통해 서로 다른 큐비트 간에 정보를 공유하거나 연산을 병렬적으로 수행할 수 있다. 이 두 가지 성질은 양자컴퓨터의 연산 속도 향상과 복잡한 문제 해결 능력의 원동력이다.
4. 양자컴퓨터는 어떻게 계산하는가?

양자컴퓨터의 계산은 고전 컴퓨터와 마찬가지로 논리 게이트를 기반으로 한다. 고전적인 컴퓨터에서는 AND, OR, NOT과 같은 논리 게이트를 조합하여 계산을 수행한다. 이러한 게이트는 디지털 회로에서 0과 1이라는 명확한 상태를 이용해 정보를 처리한다.
4.1 고전 게이트와 양자 게이트의 차이
고전 게이트는 이진 논리에 기반해 입력된 비트를 결정론적으로 출력으로 변환한다. 예를 들어, NOT 게이트는 0을 1로, 1을 0으로 바꾼다. 하지만 양자컴퓨터에서 사용하는 양자 게이트(Quantum Gate)는 큐비트의 중첩 상태를 선형적으로 조작하며 그 연산은 항상 유니터리(unitary)해야 한다. 즉, 양자 게이트는 유니터리 행렬(Unitary Matrix)로 표현되며 큐비트 상태에 선형 변환을 적용하여 상태 벡터를 다른 벡터로 바꾼다. 유니터리 행렬이란 자신과 켤레 전치 행렬의 곱이 단위 행렬이 되는 행렬로 다음과 같은 조건을 만족한다:

이 성질은 양자 상태의 정규화 조건, 즉 전체 확률이 항상 1로 보존되도록 보장한다. 이는 양자역학의 확률 해석(Born Rule)을 만족시키기 위해 필수적이다. 또한, 유니터리 연산은 항상 가역적이기 때문에 양자 연산은 되돌릴 수 있는 계산을 기반으로 한다는 특징을 가진다.
대표적인 양자 게이트로는 다음이 있다:
- Hadamard 게이트 (H):

- Pauli-X 게이트: 고전적인 NOT 게이트와 유사함.
- CNOT 게이트: 얽힘을 생성하는 데 사용되는 2큐비트 게이트.
4.2 양자 알고리즘의 대표 사례
양자 게이트를 조합해 구현한 알고리즘은 고전 컴퓨터가 처리하기 어려운 문제들을 빠르게 해결할 수 있게 한다. 대표적인 알고리즘은 다음과 같다:
쇼어 알고리즘 (Shor's Algorithm)
1994년 피터 쇼어(Peter Shor)가 제안한 이 알고리즘은 큰 수를 소인수로 분해하는 문제를 다룬다. 고전 알고리즘은 이 작업에 지수적 시간이 걸리는 반면, 쇼어 알고리즘은 다항 시간에 해결할 수 있다. 이는 현재 널리 사용되는 RSA 암호 체계를 무력화할 수 있다는 점에서 매우 중요한 의미를 가진다.
그로버 알고리즘 (Grover's Algorithm)
러브 그로버(Lov Grover)가 개발한 이 알고리즘은 비정렬 데이터베이스에서 원하는 항목을 찾는 데 사용된다. 고전적인 방법은 N개의 데이터에서 원하는 값을 찾기 위해 평균적으로 N/2번의 검색이 필요하지만, 그로버 알고리즘은 번만에 찾을 수 있다. 이는 검색 문제에서 제곱근 속도 향상을 가져오는 강력한 알고리즘이다.
이러한 알고리즘들은 양자컴퓨터가 단순한 병렬 처리 머신이 아니라, 양자역학의 성질을 활용해 특정 문제에서 근본적으로 다른 계산 방식을 사용할 수 있다는 사실을 보여준다.
현재는 Qiskit과 같은 오픈소스 프레임워크를 통해 누구나 양자 회로를 직접 설계하고 실험할 수 있다. 👉 Qiskit 공식 웹사이트에서 실습 가능한 예제와 튜토리얼을 확인해보자.
5. 양자컴퓨터의 응용 분야: 암호 해독부터 신약 개발까지

양자컴퓨터는 단순히 더 빠른 컴퓨터가 아니라, 고전 컴퓨터로는 사실상 풀 수 없는 문제를 해결할 수 있는 새로운 패러다임이다. 다음은 대표적인 응용 분야들이다.
암호 해독
현대 인터넷 보안의 핵심인 RSA, ECC(타원 곡선 암호)는 큰 수의 소인수 분해, 이산 로그 문제처럼 고전 컴퓨터가 풀기 어려운 수학적 문제에 기반한다. 하지만 쇼어 알고리즘은 이 문제들을 양자 다항 시간에 해결할 수 있다. 이로 인해 양자컴퓨터는 기존의 공공 키 암호 체계를 무력화할 수 있으며, 이는 향후 양자 내성 암호(post-quantum cryptography)의 필요성을 촉발했다.
미국 NIST는 양자 내성 암호(Post-Quantum Cryptography) 표준화 작업을 진행 중이다. 👉 자세한 내용은 NIST 공식 프로젝트 페이지에서 확인할 수 있다.
신약 개발 및 분자 시뮬레이션
분자의 성질은 양자역학으로 기술되지만 고전 컴퓨터로 이를 정확히 시뮬레이션하려면 막대한 계산 자원이 필요하다. 양자컴퓨터는 분자의 전자 상태, 결합, 반응 경로 등을 양자 상태 자체로 직접 시뮬레이션할 수 있어 신약 개발, 단백질 접힘 구조 예측, 나노소재 설계 등에 획기적인 도약을 가져올 것으로 기대된다.
최적화 문제
교통 경로 최적화, 물류 네트워크, 금융 포트폴리오 구성 등 수많은 조합 최적화 문제는 계산 비용이 기하급수적으로 증가한다. 양자컴퓨터는 얽힘과 중첩을 활용해 해결 공간을 동시에 탐색할 수 있으므로 이러한 문제에서 빠른 수렴 가능성을 보여주고 있다.
기후 모델링과 복잡계 시뮬레이션
기후 변화 예측, 유체 역학, 생물계의 상호작용 모델링은 수많은 변수를 포함한 고차원 복잡계다. 양자컴퓨터는 고차원 상태공간을 자연스럽게 다룰 수 있는 능력 덕분에 기존보다 훨씬 정교한 시뮬레이션을 가능하게 한다. 이는 지구환경 문제 해결의 중요한 도구가 될 수 있다.
금융 및 위험 분석
금융 분야에서는 파생 상품 가격 책정, 리스크 분석, 최적 포트폴리오 구성 등에서 복잡한 수학 모델이 사용된다. 양자 알고리즘은 몬테카를로 시뮬레이션의 수렴 속도를 향상시키거나, 기계학습 기반 시장 예측 모델을 가속화하는 데도 사용될 수 있다.
양자 머신러닝
양자컴퓨터는 머신러닝에서도 새로운 접근을 가능하게 한다. 고차원 데이터를 효율적으로 처리할 수 있는 양자 커널 기법, 양자 지원 벡터 머신(QSVM), 양자 뉴럴 네트워크(QNN) 등의 알고리즘이 제안되고 있으며, 고전적 컴퓨터보다 훨씬 적은 데이터로 빠른 학습이 가능할 것으로 기대된다.
이처럼 양자컴퓨터는 암호 해독뿐 아니라 의학, 에너지, 금융, 환경 등 미래 산업의 핵심 기술 분야 전반에 응용 가능성을 가지고 있다.
6. 양자컴퓨터의 한계와 극복 과제

양자컴퓨터는 아직 초기 단계의 기술로 상용화를 위해서는 여러 기술적 장벽을 극복해야 한다. 특히 다음과 같은 근본적인 한계들이 존재한다.
6.1 디코히런스(Decoherence)
큐비트는 외부 환경과의 상호작용에 매우 민감하며 이러한 상호작용은 중첩 상태를 깨뜨리는 디코히런스 현상을 유발한다. 이로 인해 계산 중에 큐비트가 원하지 않는 상태로 붕괴할 수 있으며 연산 결과의 정확성이 떨어지게 된다. 현재 큐비트를 극저온 환경에 보관하고 진공 상태에서 제어하는 것도 이러한 문제를 최소화하기 위한 노력의 일환이다.
디코히런스 개념이 낯설다면 👉 이 글에 설명된 사례 중심 해설이 도움이 될 수 있다.
6.2 오류율(Error Rate)
현재의 양자 게이트는 비교적 높은 오류율을 가지고 있으며, 연산을 수행할수록 누적 오류가 발생할 수 있다. 이는 신뢰도 높은 결과를 얻는 데 큰 장애물이 된다. 이를 해결하기 위해 양자 오류 정정(Quantum Error Correction) 기술이 활발히 연구되고 있다. 특히 '서페이스 코드(Surface Code)'와 같은 접근 방식은 현실적인 오류율 하에서도 안정적인 계산을 가능하게 할 수 있는 유망한 방법으로 주목받고 있다.
양자컴퓨터가 계산 도중 에러에 민감한 이유와 이를 해결하기 위한 QEC(양자 오류 정정)의 배경이 궁금하다면 👉 이 글에서 자세히 알아볼 수 있다.
6.3 확장성(Scalability)
이론적으로 수천 개의 큐비트를 연결한 양자컴퓨터가 필요하지만 현재의 기술로는 수십~수백 개의 큐비트를 안정적으로 유지하기도 어렵다. 큐비트 간 간섭, 제어 회로의 복잡성, 냉각 시스템의 한계 등 다양한 요소가 확장을 방해하고 있다. 특히 물리적 큐비트와 논리적 큐비트 사이의 비효율성 문제도 해결이 필요한 과제이다.
6.4 극복을 위한 연구 방향
이러한 한계를 극복하기 위해 다음과 같은 기술들이 집중적으로 개발되고 있다:
- 양자 오류 정정 기술: 큐비트 다중 복제, 코드 기반 오류 감지 및 정정 알고리즘
- 정밀 냉각 및 환경 차단: 큐비트를 외부와 격리하기 위한 초저온 냉각 및 진공 기술
- 논리 큐비트 구조화: 수십 개의 물리적 큐비트로 하나의 안정적인 논리 큐비트를 구성하는 구조
- 플랫폼 최적화: 초전도, 이온 트랩, 스핀 등 다양한 큐비트 기술 간의 비교와 융합 연구
양자컴퓨터의 상용화를 위해서는 이러한 한계 극복이 필수이며 전 세계의 연구기관과 기업들이 이 문제를 해결하기 위한 경쟁과 협력을 이어가고 있다.
대표적인 양자 오류 정정 방식인 Shor 코드와 Steane 코드를 구체적으로 이해하고 싶다면 👉 이 글을 참고해보자.
7. 상용화의 현주소와 향후 전망

2025년 현재, 양자컴퓨터는 '상용화 초기 단계'에 진입했다고 평가받고 있다. 아직까지 완전한 범용 양자컴퓨터는 실현되지 않았지만, 일부 기업들은 특정 응용 분야에 한해 실질적인 서비스를 제공하고 있다. 예를 들어, D-Wave는 양자 어닐링 방식으로 최적화 문제 해결에 활용되고 있으며, IonQ, Rigetti, Quantinuum 같은 기업들은 클라우드 기반 양자컴퓨팅 플랫폼을 통해 다양한 실험과 산업적 적용을 시도 중이다.
IBM은 2024년부터 수백 큐비트 이상의 시스템을 바탕으로 양자 시뮬레이션을 본격적으로 제공하기 시작했다. 👉 자세한 개발 현황은 IBM Quantum 공식 페이지에서 확인할 수 있다.
이러한 발전은 양자컴퓨팅이 현실적인 응용 가능성을 지니고 있음을 시사하지만 여전히 오류율, 확장성, 안정성 측면에서 한계를 지닌다. 따라서 현재는 특정 목적의 계산에서 유리한 조건에서 작동하는 '특수 목적 양자컴퓨터'의 형태로 상용화가 시작된 단계라고 볼 수 있다.
앞으로 수년 내에 양자 오류 정정 기술과 논리 큐비트 설계, 하드웨어 제어 기술이 더욱 발전하면 보다 광범위한 분야에 적용 가능한 양자컴퓨터가 등장할 것으로 기대된다. 결국 양자컴퓨터는 아직 완성된 기술은 아니지만 이미 실험실과 산업 현장에서 그 가능성을 증명해가고 있으며 상용화를 향한 여정은 본격적으로 시작되었다고 할 수 있다.
양자컴퓨터는 이제 막 상용화의 문턱에 올라선 기술이지만 그 잠재력은 이미 실험실과 산업 현장에서 증명되고 있다. 큐비트, 중첩, 얽힘 같은 양자적 개념을 바탕으로 복잡한 계산과 시뮬레이션을 빠르고 효율적으로 수행할 수 있는 가능성을 보여주고 있는 것이다. 물론 아직은 오류율, 확장성, 안정성이라는 기술적 장벽이 존재하지만 세계 각국의 연구자와 기업들은 이를 극복하기 위한 기술 개발에 매진하고 있다. 앞으로 양자 오류 정정과 하드웨어 발전이 뒷받침된다면 양자컴퓨터는 암호 해독, 신약 개발, 기후 예측 등 수많은 영역에서 혁신을 이끌 핵심 기술로 자리잡게 될 것이다.
🧭 핵심 요약
- 양자컴퓨터는 중첩과 얽힘 같은 양자역학의 원리를 활용해 기존 컴퓨터보다 훨씬 빠른 연산을 가능하게 하는 차세대 컴퓨팅 기술이다.
- 큐비트(Qubit)는 고전 비트와 달리 0과 1이 동시에 존재할 수 있는 양자 상태로 선형 결합과 확률 해석에 기반한다.
- 큐비트는 초전도, 이온 트랩, 광자, 스핀 등 다양한 방식으로 구현되며, 각기 다른 특성과 장단점을 가진다.
- 중첩과 얽힘은 양자컴퓨팅의 핵심으로 큐비트 간 병렬 연산과 상태 공유를 가능하게 하여 연산 효율을 비약적으로 높인다.
- 양자컴퓨터는 양자 게이트를 통해 계산을 수행하며 대표적으로 쇼어 알고리즘, 그로버 알고리즘 같은 양자 알고리즘이 있다.
- 응용 분야로는 암호 해독, 신약 개발, 최적화 문제, 기후 모델링, 금융 시뮬레이션, 양자 머신러닝 등이 있으며, 산업적 파급력이 매우 크다.
- 주요 한계로는 디코히런스, 오류율, 확장성 문제가 있으며 이를 극복하기 위한 양자 오류 정정 기술과 논리 큐비트 설계가 활발히 연구되고 있다.
- 현재는 특수 목적 양자컴퓨터가 일부 상용화되고 있으며 본격적인 활용은 향후 기술 발전과 함께 확장될 것으로 보인다.
🔗 함께 보면 좋은 글
👉 양자 얽힘이란? – 아인슈타인이 ‘유령 같은 원격 작용’이라 불렀던 현상
양자 얽힘이란? – 아인슈타인이 ‘유령 같은 원격 작용’이라 불렀던 현상
양자 얽힘은 두 입자가 멀리 떨어져 있어도 즉각적으로 연결된 상태를 유지하는 양자역학 현상입니다. EPR 역설, 벨의 부등식, 양자 컴퓨팅과 암호 등 얽힘의 원리부터 응용까지 한눈에 알아보세
quantum-city.net
👉 양자 컴퓨터는 왜 에러에 민감한가? – Quantum Error Correction(QEC)이 등장한 이유
양자 컴퓨터는 왜 에러에 민감한가? – Quantum Error Correction(QEC)이 등장한 이유
양자 컴퓨터는 놀라운 계산 속도를 가질 수 있지만, 극도로 민감한 큐비트의 특성 때문에 실용화에 어려움을 겪고 있습니다. 이 글에서는 양자 오류 수정(Quantum Error Correction, QEC)의 원리와 그 중
quantum-city.net
👉 디코히런스란 무엇인가? – 양자 정보가 고전 세계로 무너지는 순간
디코히런스란 무엇인가? – 양자 정보가 고전 세계로 무너지는 순간
디코히런스는 양자컴퓨터의 최대 난제로, 중첩 상태가 외부 환경과의 상호작용으로 무너지는 현상이다. 이 글에서는 디코히런스의 원리와 문제점, 그리고 이를 극복하기 위한 양자 기술 대응
quantum-city.net
👉 Shor 코드와 Steane 코드 완전 해설 – 대표 QEC 방식과 정밀도 임계값까지
Shor 코드와 Steane 코드 완전 해설 – 대표 QEC 방식과 정밀도 임계값까지
Shor 코드와 Steane 코드로 대표되는 양자 오류 정정(QEC)의 원리와 구조를 완벽 해설합니다. 정밀도 임계값 개념과 실용화 조건도 함께 정리합니다.📌 이 글은 공식 도메인에서도 제공됩니다 👉 qu
quantum-city.net
❓ FAQ
Q1. 양자컴퓨터는 일반인이 지금 당장 사용할 수 있나요?
현재 양자컴퓨터는 일부 기업이 클라우드 플랫폼을 통해 제한적으로 공개하고 있으나 전문 지식과 개발 환경이 필요해 일반 사용자에게는 다소 진입 장벽이 있습니다.
Q2. 큐비트는 왜 0과 1이 동시에 존재할 수 있나요?
큐비트는 중첩 원리에 따라 두 상태의 선형 결합으로 존재합니다. 이는 양자역학의 확률적 특성에 기반하며 실제 측정 시에는 확률적으로 한 상태로 결정됩니다.
Q3. 쇼어 알고리즘은 보안에 어떤 영향을 미치나요?
쇼어 알고리즘은 큰 수의 소인수 분해를 빠르게 수행할 수 있어 RSA 같은 고전 암호 체계를 무력화할 수 있습니다. 이 때문에 양자 내성 암호(Post-Quantum Cryptography) 개발이 중요해지고 있습니다.
Q4. 양자컴퓨터는 기존 컴퓨터를 완전히 대체할까요?
아닙니다. 양자컴퓨터와 고전 컴퓨터는 서로 다른 목적에 특화된 도구로 병행될 가능성이 높습니다. 일반적인 사무처리나 게임 등에서는 여전히 고전 컴퓨터가 더 효율적입니다.
Q5. 가장 유망한 큐비트 구현 방식은 무엇인가요?
현재는 초전도 큐비트와 이온 트랩 큐비트가 주도적인 기술로 평가받고 있습니다. 각 방식은 장단점이 있으며, 응용 목적과 기술 환경에 따라 선택이 달라집니다.
Q6. 양자 얽힘은 정보 전달에 쓸 수 있나요?
얽힘은 두 큐비트 간의 즉각적인 상태 연결을 의미하지만 그 자체만으로는 정보 전달이 불가능합니다. 측정 결과가 무작위이기 때문에 상대방에게 정보를 전달하려면 여전히 빛의 속도를 따르는 고전적 통신 수단이 필요합니다. 따라서 얽힘은 빠른 통신의 도구라기보다는 보안성과 정합성을 위한 메커니즘으로 활용됩니다.
Q7. 현재 양자컴퓨터를 가장 앞서 개발 중인 기업은 어디인가요?
대표적으로 IBM, Google, D-Wave, IonQ, Rigetti, Quantinuum 등이 있으며 각기 다른 큐비트 기술을 기반으로 양자컴퓨팅 플랫폼을 개발 중입니다.
'양자컴퓨터' 카테고리의 다른 글
양자 컴퓨터는 왜 에러에 민감한가? – Quantum Error Correction(QEC)이 등장한 이유 (0) 2025.04.16 디코히런스란 무엇인가? – 양자 정보가 고전 세계로 무너지는 순간 (0) 2025.04.15 이온트랩 양자 컴퓨터란? (Ion Trap) 레이저로 큐비트를 조절하는 기술의 원리와 미래, 그리고 아이온큐 (0) 2025.04.11 양자 게이트 중 가장 유연한 도구: 회전 게이트의 모든 것 (0) 2025.04.07 양자 게이트는 어떻게 양자 컴퓨터를 움직이는가? 회로에서 알고리즘까지 (0) 2025.04.06