양자 게이트 중 가장 유연한 도구: 회전 게이트의 모든 것
양자 컴퓨팅에서 큐비트는 정보의 기본 단위이며 큐비트에 작용하는 다양한 양자 게이트는 계산의 기본 연산자로 작동한다. 그중에서도 회전 게이트(rotation gate)는 단순한 상태 전이 이상의 의미를 갖는다. 회전 게이트는 특정한 축을 기준으로 큐비트의 상태를 연속적으로 조절할 수 있기 때문에 고정된 연산만 수행하는 기존 게이트와 달리 훨씬 더 유연한 제어가 가능한 도구이다. 이러한 유연성은 파라미터화된 양자 회로(PQC)를 구성하는 핵심으로 이어진다. PQC는 회전 게이트에 고전적인 파라미터를 도입함으로써 양자 상태를 정밀하게 조정하고 최적화할 수 있는 수학적 프레임워크를 제공한다. 본 글에서는 회전 게이트의 정의부터 PQC 및 VQC와의 연결, 실제 활용 예까지를 차근차근 정리하여 회전 게이트가 현대 양자 알고리즘에서 왜 가장 강력한 도구 중 하나로 간주되는지를 설명한다. 양자 컴퓨터의 개념이 처음이라면, 양자 컴퓨터의 기본 원리를 먼저 읽고 오면 본 글의 이해에 도움이 된다.

1. 양자 컴퓨팅의 배경지식 정리

양자 컴퓨팅을 제대로 이해하기 위해서는 몇 가지 핵심 개념—큐비트, 기저 상태, 텐서곱, 중첩, 얽힘—에 대한 기본기를 갖추는 것이 매우 중요하다. 이 글에서는 이러한 개념들을 처음 접하는 사람도 이해할 수 있도록 자세하고 직관적으로 설명한다.
1. 1큐비트와 기저 상태
1큐비트는 고전적인 비트와 달리 0 또는 1 중 하나의 값만 가지는 것이 아니라 다음 두 개의 기저 상태를 바탕으로 선형 결합(superposition)된 상태로 존재할 수 있다.

1큐비트의 일반적인 상태는 다음과 같은 형태로 표현된다:

이는 큐비트가 |0⟩과 |1⟩ 상태에 동시에 존재할 수 있다는 것을 의미하며 이 특성이 양자 중첩(superposition)이다.
1. 2큐비트와 텐서곱
두 개의 큐비트가 있을 때 그 상태는 두 개의 1큐비트 상태를 텐서곱(⊗) 연산으로 결합하여 나타낸다.
예를 들어:

텐서곱은 각 원소별로 전체 벡터를 곱해서 확장하는 방식이다. 이 연산은 두 큐비트를 하나의 4차원 상태 벡터로 결합하는 방법이다. 4개의 2큐비트 기저 상태는 다음과 같다:
- |00⟩ = |0⟩ ⊗ |0⟩
- |01⟩ = |0⟩ ⊗ |1⟩
- |10⟩ = |1⟩ ⊗ |0⟩
- |11⟩ = |1⟩ ⊗ |1⟩
이 네 가지는 2큐비트 상태 공간의 기저 상태(basis states)를 이룬다.
1.3 중첩 상태
중첩이란 여러 기저 상태의 선형 결합으로 표현된 상태를 말한다. 1큐비트에서의 예시는 다음과 같다:

이 |+> 는 Hadamard 게이트를 |0⟩에 적용했을 때 생성되는 상태이며 블로흐 구 상에서는 X축 방향을 의미한다. 다음 |-> 는 Hadamard 게이트를 |1>에 적용했을 때 생성되는 상태로,

블로흐 구 상에서는 X축 반대 방향에 위치한다. 2큐비트의 중첩 상태 예시는 다음과 같다:

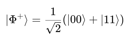
1.4 얽힘 상태
얽힘(entanglement)은 두 큐비트 이상이 서로 분리할 수 없는 상태로 결합되어 있는 현상이다. 수학적으로는 다음과 같은 상태가 얽힌 상태이다. 다음 상태는 얽힌 큐비트의 대표적인 상태이다:

이 상태는 다음과 같은 특징을 가진다:
- 하나의 큐비트를 측정하면, 다른 큐비트의 상태도 즉시 결정됨
- 상태를 두 개 큐비트의 텐서곱으로 분리할 수 없음 → 분리 불가능성
이러한 얽힘 상태는 양자 컴퓨팅, 양자 통신, 양자 암호의 핵심 개념이다.
2. 회전 게이트란 무엇인가?

양자 게이트의 전체적인 구조와 종류는 위키피디아: Quantum Logic Gate에서도 정리되어 있다.
회전 게이트는 큐비트의 상태를 블로흐 구(Bloch Sphere) 상에서 특정 축을 기준으로 회전시키는 연산이다. 블로흐 구(Bloch Sphere)는 1큐비트의 상태를 시각화하기 위해 사용하는 3차원 구형 모델이다.
큐비트의 상태는 일반적으로 |ψ⟩ = α|0⟩ + β|1⟩과 같이 표현되며 이 상태는 복소수 계수를 갖는 2차원 벡터지만 위상 정보를 제외하고 나면 사실상 3차원 구의 표면 위의 한 점으로 나타낼 수 있다. 블로흐 구에서 북극은 |0⟩, 남극은 |1⟩, 그리고 적도 위의 다양한 점들은 |+⟩, |−⟩ 등 다양한 중첩 상태를 나타낸다. 이 구를 기준으로 회전 게이트가 큐비트의 상태를 어떻게 바꾸는지를 직관적으로 이해할 수 있다.
회전 게이트(Rotation Gate)는 1큐비트 상태를 블로흐 구 위에서 특정 축을 기준으로 회전시키는 양자 연산이다. 대표적인 회전 게이트로는 RX(θ), RY(θ), RZ(θ)가 있으며 각각 X축, Y축, Z축을 중심으로 한 회전을 구현한다.

여기서 X,Y,Z는 각각 파울리 행렬이며, 회전 각도 θ 는 연속적으로 조정 가능한 파라미터이다.
회전 게이트는 큐비트의 상태를 연속적인 방식으로 변화시키는 중요한 도구이며 이를 통해 다양한 양자 회로 설계가 가능해진다. 블로흐 구 상에서 이 연산은 상태 벡터의 방향을 회전시키는 것으로 시각화할 수 있다. 특히 회전 게이트는 파라미터화된 양자 회로(PQC)의 핵심 구성 요소로 사용되며 회로의 학습 가능성과 유연성을 제공한다.
3. 양자 회로의 자유도와 회전 게이트의 유연성

전통적인 양자 게이트, 예를 들어 Hadamard(H), Pauli-X, Y, Z 게이트는 특정한 고정 연산을 수행하는 데 비해 회전 게이트는 연속적인 변화—즉, 회전 각도 θ를 실수 단위로 자유롭게 조절하여 큐비트 상태를 아날로그적으로 변화시킬 수 있다는 점—를 줄 수 있다는 점에서 회로 설계에 더 많은 자유도(freedom)를 제공한다.
여기서 자유도란 회전 각도 θ를 연속적으로 조정함으로써 큐비트의 상태를 원하는 만큼 미세하게 변화시킬 수 있는 능력을 의미한다. 즉, 큐비트의 상태 공간에서 더 많은 경로와 위치를 선택할 수 있게 되어 보다 정밀하고 유연한 양자 회로 구성 및 최적화가 가능하다는 뜻이다.
특히, 양자 알고리즘에서는 상태를 아주 미세하게 조정해야 하는 경우가 많다. 예를 들어, 상태 간 간섭(interference)을 조절하거나 원하는 출력 확률을 얻기 위해 회전 각도를 정밀하게 조절할 필요가 있다. 이럴 때 RX, RY, RZ와 같은 회전 게이트가 강력한 도구로 작용한다.
또한 회전 게이트는 서로 결합되면 임의의 1큐비트 유니터리 변환(임의의 1-qubit unitary transformation)을 구성할 수 있다. 여기서 '임의의 1큐비트 유니터리 변환'이란 어떤 1큐비트 상태든 다른 상태로 변환시킬 수 있는 모든 가능한 유니터리 연산을 의미한다. 다시 말해 RZ-RY-RZ와 같은 회전 게이트 조합만으로도 1큐비트의 상태 공간 전체를 커버할 수 있으며 이는 회로 설계의 표현력을 극대화하는 데 핵심적인 요소이다.
4. 얽힘과 다큐비트 유니버설 구성

1큐비트 회전 게이트만으로는 단일 큐비트 상태를 자유롭게 조작할 수 있지만 2큐비트 이상의 복잡한 양자 연산을 구현하기 위해서는 큐비트 간의 얽힘(entanglement)이 필수적이다. 이를 가능하게 해주는 대표적인 게이트가 바로 CNOT(Controlled-NOT) 게이트이다. 2큐비트 양자게이트에서 첫 번째 큐비트를 제어(control) 큐비트, 두 번째 큐비트를 표적(target) 큐비트라고 부르는데 CNOT 큐비트는 제어 큐비트가 |1> 일 때만 표적 큐비트를 X 게이트 (즉 NOT) 로 뒤집는다. CNOT 게이트의 작용을 4개의 2큐비트 기저 상태에 적용하면 다음과 같다:
- CNOT |00> = |00>
- CNOT |01> = |01>
- CNOT |10> = |11>
- CNOT |11> = |10>
즉 제어 큐비트가 |0> 이면 아무 변화 없고 제어 큐비트가 |1> 이면 표적 큐비트가 반전된다. CNOT 게이트는 얽힘 생성의 필수적인 도구이며 양자 알고리즘의 기본 구성요소이다.
유니버설 게이트셋과 얽힘
회전 게이트 + CNOT 게이트 조합은 양자 컴퓨팅에서 매우 중요한 의미를 가진다. 이 두 가지 만으로도 임의의 양자 회로를 근사하거나 구현할 수 있기 때문이다. 이러한 조합을 우리는 유니버설 게이트셋(universal gate set)이라고 부른다.
- 회전 게이트(RX, RY, RZ): 1큐비트 상태를 연속적으로 조절 가능
- CNOT 게이트: 큐비트 간의 얽힘 생성 가능
이 조합을 통해 1큐비트 회전으로 상태를 세밀하게 조정하고 CNOT으로 얽힘을 만들면서 2큐비트 이상 상태를 구성하면 어떤 복잡한 다큐비트 양자 연산도 구성 가능하다.
5. 파라미터화된 양자 회로(PQC)와 회전 게이트

파라미터화된 양자 회로(Parameterized Quantum Circuit, PQC)는 회전 게이트의 연속적인 조절 가능성을 활용하여 고전적인 파라미터에 따라 양자 상태를 조정할 수 있는 회로 구조이다. 이 구조는 특히 양자 기계학습, 최적화 문제, 양자 화학 계산 등에 널리 사용된다.
PQC는 일반적으로 다음과 같은 두 부분으로 구성된다:
- 파라미터화된 회전 게이트: RX(θ), RY(θ), RZ(θ)와 같은 회전 게이트가 사용되며 θ는 학습 가능한 변수 또는 고전 알고리즘이 제시하는 값이다.
- 얽힘 게이트 층: CNOT, CZ 등의 얽힘 게이트를 배치하여 다큐비트 간 상호작용을 유도한다.
이러한 구조는 반복적인 블록으로 구성되며, 전체 회로는 다음과 같이 표현할 수 있다:

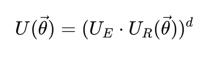
여기서 U_R(\theta)는 회전 게이트 블록, U_E는 얽힘 블록이며, d는 반복 깊이(depth)를 의미한다. 이 수식은 회로 구조를 다음과 같은 반복 형태로 구성함을 나타낸다:

즉, 회전 게이트 블록과 얽힘 블록을 하나의 층으로 보고 그 층을 d번 반복하여 전체 회로를 구성하는 방식이다. 반복이 많아질수록 회로의 표현력이 증가하지만 동시에 최적화가 어려워지는 문제도 발생할 수 있다.
고전적인 파라미터란 무엇인가?
PQC에서 사용되는 파라미터는 고전 컴퓨터가 생성하거나 최적화하는 실수 값이다. 이 값은 회전 게이트의 작동을 제어하는 데 사용되어 큐비트의 상태를 블로흐 구 상에서 특정 방향으로 회전시키는 역할을 한다. 즉, 파라미터가 달라지면 회전 게이트의 동작 방식이 달라지고 그 결과 큐비트의 상태도 달라지게 된다. 이러한 방식으로 고전 컴퓨터는 회전 게이트의 파라미터를 조정함으로써 양자 상태를 간접적으로 제어한다는 점에서 파라미터는 회로 설계의 중요한 수단이 된다.
고전적인 파라미터가 양자 상태를 조정한다는 말은 고전 컴퓨터에서 설정한 수치가 회전 게이트를 통해 양자 회로의 결과물에 직접적인 영향을 미친다는 것을 의미한다. 이는 마치 고전적인 인공신경망에서 가중치를 조정하여 모델 출력을 변화시키는 것과 유사하다. 실제로 PQC는 양자 신경망(QNN)의 한 형태로 간주되며, 양자 기계학습(QML) 분야에서 널리 연구되고 있다.
VQC (Variational Quantum Circuit)의 개념
VQC는 PQC의 대표적인 활용 형태로 양자 시스템의 에너지 기대값이 항상 바닥 상태 에너지보다 크거나 같다는 변분 원리 (variational principle)를 기반으로 한다. 이 구조는 고전 컴퓨터와 양자 회로가 협력하여 최적의 양자 상태를 찾는 방식으로 작동한다.
먼저 고전 컴퓨터는 파라미터 값을 초기화하고, 해당 값을 이용해 양자 회로를 구성한다. 회로가 실행되면 특정한 양자 상태가 생성되고, 이를 측정해 비용 함수를 계산한다. 그 결과를 바탕으로 고전 알고리즘은 파라미터를 조정하여 비용 함수 값을 최소화하려고 시도한다. 이러한 과정을 반복하면서 회로는 점차 최적의 양자 상태에 가까워진다. VQC는 에너지 최소화 문제뿐 아니라 분류, 최적화 등 다양한 기계학습 문제에 활용된다.
실제로 VQC는 양자 신경망(QNN)이나 양자 지원 최적화(QAOA) 알고리즘의 핵심 구조로 사용되며 양자 기계학습(QML)의 중요한 기반 기술로 간주된다. 변분 양자 회로는 Qiskit 교재에서도 다루고 있으며 실제 코드 예제와 함께 Qiskit 공식 교재에서 학습할 수 있다.
요약하자면, PQC는 양자 컴퓨터에서 문제 해결을 위한 계산 구조를 구성하는 수학적 프레임워크이며 큐비트와 양자 게이트, 그리고 고전적 파라미터 최적화가 결합된 양자-고전 하이브리드 최적화 시스템이라 할 수 있다.
PQC와 VQC는 초전도 큐비트의 회로 설계와 깊은 연관이 있으며 조셉슨 효과와 큐비트 작동 원리에서 이를 구체적으로 살펴볼 수 있다.
6. 회전 게이트의 실전 활용 예

회전 게이트는 단순한 상태 조정 도구를 넘어 실제 양자 알고리즘 설계에서 핵심적인 역할을 한다. 특히 다음과 같은 응용 분야에서 PQC를 구성하는 중요한 요소로 사용된다.
6.1 양자 분류기 (Quantum Classifier)
회전 게이트는 입력 데이터를 큐비트 상태에 인코딩한 뒤 이를 회전시키며 결정 경계를 학습하는 데 사용된다. 예를 들어 클래식 데이터를 각 큐비트에 대응하는 회전 각도로 매핑한 뒤 VQC를 통해 학습하면 이진 분류 모델로 작동할 수 있다.
6.2 양자 지원 최적화 (QAOA)
QAOA는 회전 게이트와 얽힘 게이트를 번갈아 적용하여 특정 조합 최적화 문제의 해를 근사한다. 여기서 회전 게이트는 Cost Hamiltonian 및 Mixer Hamiltonian에 해당하는 양자 연산을 구현하며 각 단계의 파라미터는 고전적으로 최적화된다.
6.3 양자 화학 시뮬레이션
분자의 전자 구조를 계산할 때 회전 게이트를 이용한 PQC가 바닥 상태 에너지를 추정하는 데 사용된다. 이는 변분 양자 에젠값 해법(VQE)에서 핵심으로 회전 게이트의 조합이 전자 상태를 표현하는 데 중요한 역할을 한다.
6.4 양자 생성 모델 (Quantum Generative Models)
PQC는 양자 생성 모델에서도 활용되며 회전 게이트는 확률 분포를 양자 상태에 매핑하는 데 사용된다. 학습된 파라미터를 통해 새로운 데이터 샘플을 생성할 수 있으며 이는 고전적 GAN과 유사한 구조를 형성한다.
이러한 활용 예들은 회전 게이트의 파라미터화 가능성과 얽힘 게이트와의 조합성이 양자 회로의 유연성과 표현력을 극대화함을 보여준다.
PQC는 양자 통신을 위한 정보 생성 구조로도 활용되며 관련 내용은 양자 통신과 미래 보안 기술에서 자세히 다룬다.
📌 핵심 요약: 왜 회전 게이트가 가장 유연한 도구인가
회전 게이트는 단순한 게이트가 아니다. 연속적인 각도 조절을 통해 큐비트를 미세하게 다룰 수 있는 정밀한 도구이며 다음과 같은 이유로 "가장 유연한" 양자 게이트라 할 수 있다:
- 다양한 축을 기준으로 회전 가능: RX, RY, RZ로 3차원 블로흐 구 전반을 제어할 수 있다.
- 파라미터화된 회로 설계 가능: 각도 파라미터를 통해 학습과 최적화가 가능한 회로 설계에 필수적이다.
- 유니버설 게이트셋 구성 가능: 회전 게이트와 몇몇 다른 게이트만으로 임의의 양자 연산을 구현할 수 있다.
- 다양한 알고리즘에서 핵심 도구로 사용: 머신러닝, 최적화, 시뮬레이션 등 거의 모든 주요 양자 알고리즘에서 활용된다.
앞으로 양자 컴퓨팅이 실용화되면서 회전 게이트의 활용도는 더욱 커질 것이다. 그 정밀성과 유연성 덕분에, 회전 게이트는 양자 회로 설계의 중심에서 계속 중요한 역할을 맡게 될 것이다.
📚 함께 보면 좋은 글
👉 양자 게이트는 어떻게 양자 컴퓨터를 움직이는가? 회로에서 알고리즘까지
양자 게이트는 어떻게 양자 컴퓨터를 움직이는가? 회로에서 알고리즘까지
양자 게이트는 양자 컴퓨터의 핵심 연산 단위입니다. 이 글에서는 게이트의 작동 원리부터 알고리즘(Grover, QFT, Shor)까지 단계별로 설명합니다.📌 이 글은 공식 도메인에서도 제공됩니다 👉 quant
quantum-city.net
👉 양자컴퓨터란 무엇인가? 궁극의 계산 머신을 향한 여정
양자컴퓨터란 무엇인가? 궁극의 계산 머신을 향한 여정
양자컴퓨터의 원리부터 큐비트, 얽힘, 양자 알고리즘, 응용 분야까지 총정리. 고전 컴퓨터와의 차이, 양자 게이트, 상용화 동향과 한계까지 쉽고 깊이 있게 안내합니다.📌 이 글은 공식 도메인
quantum-city.net
👉 양자 통신과 초전도 큐비트로 해킹 불가능한 미래 인터넷 구현하기
양자 통신과 초전도 큐비트로 해킹 불가능한 미래 인터넷 구현하기
양자 통신과 초전도 큐비트 기술이 주목받고 있다. 양자 얽힘과 QKD를 활용한 도청 불가능한 보안 통신, 그리고 미래 양자 인터넷의 구현 가능성을 이 글에서 자세히 설명한다.📌 이 글은 공식
quantum-city.net
👉 조셉슨 효과란? 초전도 큐비트와 양자 컴퓨터의 작동 원리 완전 정리
조셉슨 효과란? 초전도 큐비트와 양자 컴퓨터의 작동 원리 완전 정리
조셉슨 효과는 초전도 큐비트의 핵심 원리다. 이 글에서는 조셉슨 접합과 초전도 큐비트의 작동 방식, 제작 공정, 양자 게이트 연산까지 자세히 설명한다.📌 이 글은 공식 도메인에서도 제공됩
quantum-city.net
❓ 자주 묻는 질문 (FAQ)
Q1. 회전 게이트는 왜 중요한가요?
회전 게이트는 큐비트의 상태를 연속적으로 조절할 수 있는 몇 안 되는 게이트 중 하나입니다. RX, RY, RZ와 같은 회전 게이트는 블로흐 구 위에서 큐비트 상태 벡터를 회전시키며 양자 회로 설계의 자유도와 표현력을 크게 높여줍니다.
Q2. PQC와 기존 양자 회로는 어떻게 다른가요?
기존 양자 회로는 고정된 게이트 조합으로 구성되지만 PQC(파라미터화된 양자 회로)는 회전 각도 등 조정 가능한 파라미터를 포함하여 회로를 설계합니다. 이 덕분에 문제에 맞게 학습하고 최적화할 수 있는 유연성을 갖추게 됩니다.
Q3. VQC는 정확히 어떤 문제에 사용되나요?
VQC(변분 양자 회로)는 주로 최적화 문제나 분류 문제, 양자 화학 시뮬레이션 등에 사용됩니다. 예를 들어, 분자의 바닥 상태 에너지를 추정하거나 데이터를 분류하는 데 유용하게 활용됩니다.
Q4. 고전적인 컴퓨터는 PQC에서 어떤 역할을 하나요?
고전 컴퓨터는 파라미터 값을 초기화하고 최적화하는 역할을 합니다. 양자 회로는 그 파라미터에 따라 상태를 생성하고 측정하며 결과를 고전 컴퓨터가 받아서 다시 파라미터를 조정하는 과정을 반복합니다.
Q5. 회전 게이트만으로도 양자 연산이 가능한가요?
회전 게이트만으로는 얽힘(entanglement)을 만들 수 없기 때문에 단독으로는 모든 양자 연산을 구현할 수 없습니다. 하지만 얽힘 게이트(CNOT 등)와 조합하면 유니버설 게이트셋이 되어 대부분의 양자 알고리즘을 구성할 수 있습니다.