에너지가 불연속이라고? 양자화(Quantization)가 바꿔놓은 물리학의 패러다임
현대 물리학의 기반이 된 양자역학은 에너지가 연속이 아니라 불연속적으로 바뀐다는 전제로부터 출발한다. 이 글에서는 플랑크와 보어, 슈뢰딩거로 이어지는 역사적 전환을 따라가며 에너지가 왜 계단처럼 양자화되어야 하는지를 살펴본다. 또한 이 개념이 실제 실험과 기술에 어떻게 적용되고 궁극적으로 양자컴퓨터와 어떤 관계를 맺는지도 함께 짚어본다.

1. 왜 갑자기 불연속적인 에너지가 나왔을까?
우리가 살아가는 일상 세계는 연속적인 변화로 가득하다. 온도가 서서히 오르고 물체는 점점 빨라지며 에너지는 부드럽게 흘러간다. 그런데 20세기 초, 물리학자들은 미시 세계에서 벌어지는 어떤 현상을 관찰하면서 고개를 갸웃거리기 시작했다. 에너지가 꼭 정해진 값으로만 '점프'하듯 변하는 이상한 일이 반복적으로 나타났기 때문이다. 그 변화는 계속적이지 않고 계단을 오르듯 불연속적이었다. 이때부터 물리학자들은 기존의 고전역학으로 설명할 수 없는 이 현상을 해결하기 위해 새로운 틀을 짜기 시작했다. 그리고 그 변화의 중심에는 ‘양자화(quantization)’라는 낯설지만 강력한 개념이 있었다.
2. 흑체 복사 문제와 플랑크의 혁명
19세기 말, 물리학은 거의 완성 단계에 도달한 듯 보였다. 뉴턴 역학과 맥스웰의 전자기 이론은 세상의 다양한 현상을 놀랍도록 정확하게 설명하고 있었고 물리학자들은 이제 남은 건 세부적인 다듬기뿐이라고 믿고 있었다. 그런데 그 믿음을 뒤흔든 난제가 하나 있었다. 바로 흑체 복사(Black Body Radiation) 문제였다.
흑체는 이상적인 복사체로 모든 파장의 전자기파를 흡수하고 다시 방출하는 물체다. 실험적으로 측정한 흑체의 방출 스펙트럼은 매우 독특한 형태를 보였다. 낮은 주파수에서는 방출 에너지가 서서히 증가하고 특정 파장에서 최대치에 도달한 뒤, 고주파수(자외선 영역)로 갈수록 급격히 감소하는 곡선이었다.
하지만 고전 물리학의 계산은 전혀 다른 예측을 하고 있었다. 레일리(Rayleigh)와 진(Jeans)의 공식에 따르면, 주파수가 높아질수록 방출되는 에너지는 무한히 증가해야 했다. 이른바 자외선 파탄(Ultraviolet Catastrophe)이라 불리는 이 결과는 명백히 실험과 어긋났다. 당시의 이론으로는 이 곡선을 설명할 방법이 없었다. 고전 이론으로는 설명되지 않던 이 방출 스펙트럼 곡선은 흑체 복사 실험에서 확인된 대표적인 사례이다. 고전 이론으로는 설명되지 않던 이 방출 스펙트럼 곡선은 흑체 복사 실험 에서 확인된 대표적인 사례이다.
이 난제를 해결하기 위해 등장한 인물이 막스 플랑크(Max Planck)였다. 그는 고전역학의 기본 가정, 즉 에너지가 연속적으로 흘러간다는 전제를 유지한 상태에서는 실험과 일치하는 곡선을 도출할 수 없다는 점을 분명히 인식하고 있었다. 그렇다면 어떻게 해야 할까? 플랑크는 전혀 다른 접근을 시도한다.
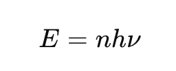
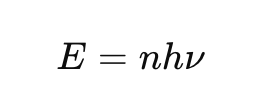
그는 단순히 현상을 설명할 수 있는 수학식을 찾는 데 집중했다. 실험 결과에 맞춰 수학식을 구성해 보던 중 하나의 과감한 수학적 선택이 필요했다. 바로 에너지가 연속적으로가 아니라 일정한 단위로 나누어져 있어야 한다는 전제였다. 그렇게 해서 나온 식은 다음과 같았다.

여기서 E는 에너지, n은 정수, h는 나중에 플랑크 상수라고 불리게 되는 매우 작은 값, ν는 진동수이다. 이 수식은 실험 데이터와 완벽하게 일치하는 복사 곡선을 만들어냈다. 플랑크는 에너지가 연속이 아니라 불연속적인 단위로만 존재한다는 가설을 제안했으며 이는 양자역학의 시작점 으로 평가된다.
하지만 주목할 점은 플랑크 자신도 이 가정이 물리적으로 진짜 자연을 반영한다고는 처음엔 생각하지 않았다는 것이다. 그는 단지 수학적으로 실험 데이터를 설명하기 위해서 일종의 ‘도구’로 이 공식을 만든 것이었다. 그가 이론을 세울 때 염두에 둔 목적은 정확한 수학적 기술(記述)이었지 ‘자연은 실제로 에너지를 덩어리로만 주고받는다’는 믿음은 아니었다.
그럼에도 불구하고 수식이 보여준 결론은 명확했다. 실험을 정확히 설명하려면 에너지는 더 이상 연속적인 값으로 존재할 수 없다. 오직 hν의 배수로만 교환될 수 있다. 자연은 연속이 아닌 불연속, 즉 ‘양자화된 세계’처럼 행동한다는 해석이 불가피해졌다.
이것이 바로 양자역학의 문을 여는 첫 번째 문장이었다. 플랑크는 새로운 수학식을 만들었고 그 수식은 새로운 물리학의 언어를 필요로 했다. 에너지가 더 이상 흐르는 것이 아니라 ‘점프’하는 것이라면 세계는 우리가 생각했던 방식과는 다른 법칙을 따르고 있는 셈이었다.
3. 보어의 양자 궤도 모델
막스 플랑크의 에너지 양자화 개념은 물리학계에 큰 파장을 일으켰다. 에너지가 연속적인 것이 아니라 일정한 단위로만 교환된다는 생각은 당시로선 매우 급진적이었지만 실험과 완벽히 들어맞는 결과가 나왔다는 점에서 무시할 수 없는 이론이었다.
이러한 플랑크의 아이디어를 원자 구조에 직접 적용한 인물이 바로 닐스 보어(Niels Bohr)였다. 그는 1913년, 수소 원자의 모형을 설명하기 위해 플랑크의 양자화 개념을 전자 궤도에 도입하는 새로운 모델을 제안한다.
고전 이론으로는 설명할 수 없던 수소 스펙트럼
보어 이전의 고전 이론에 따르면 전자는 양전하를 가진 원자핵 주변을 원형 궤도로 돌면서 계속해서 가속 운동을 하고 있기 때문에 지속적으로 전자기파(에너지)를 방출하면서 결국 핵으로 떨어져야만 한다. 하지만 실제 수소 원자는 무너져 내리지 않고 안정된 상태로 존재하고 있었고 이는 고전 이론으로는 도무지 설명이 되지 않는 현상이었다. 또한 수소 원자가 방출하거나 흡수하는 빛의 파장을 분석해보면 그것은 연속적인 스펙트럼이 아니라 특정한 파장(선)만을 가진 불연속적인 선 스펙트럼이었다. 이 역시 고전 물리학으로는 설명할 수 없는 현상이었다.
전자 궤도의 양자화: 보어 조건
보어는 이러한 문제를 해결하기 위해, 전자가 원자핵 주위를 돌 수 있는 궤도는 아무 곳이나 가능한 것이 아니라 특정한 조건을 만족하는 궤도만 허용된다고 가정했다. 그 조건은 다음과 같다:

이 수식은 전자의 각운동량이 양자화되어 있음을 의미한다. 즉, 전자가 가질 수 있는 운동량은 연속적이지 않고 정해진 값(정수 배수)만 가능하다는 것이다. 이 가정은 플랑크가 제시한 에너지 양자화 개념을 궤도 운동에 적용한 것이었다.
이제 전자는 특정한 궤도에서만 안정적으로 존재할 수 있고 한 궤도에서 다른 궤도로 이동할 때만 에너지 교환(빛의 흡수 또는 방출)이 일어나게 된다. 이 이동은 연속적인 경로가 아닌, 갑작스러운 ‘양자 점프’의 형태로 일어나며 그 결과가 바로 우리가 관측하는 선 스펙트럼이다.
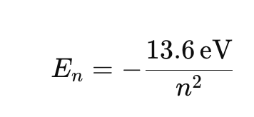
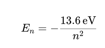
에너지 준위와 수소 원자 스펙트럼
보어의 모델은 단순하지만 매우 강력한 결과를 낳는다. 수소 원자에서 전자의 에너지는 아래와 같은 수식으로 정해진다:

여기서 n은 주양자수로, 각 궤도에 해당하는 숫자이다. 이 공식에 따르면 전자의 에너지는 0에 점점 가까워지는 음수 값들로 양자화되어 있다.
이 덕분에 전자가 낮은 에너지 상태에서 높은 상태로 점프하려면 정해진 양의 에너지를 흡수해야 하며 반대로 높은 상태에서 낮은 상태로 전이할 때는 그 차이만큼의 에너지를 빛으로 방출한다. 이 과정을 통해 방출되는 빛의 파장은 다음 식으로 계산된다:

이 식은 실험적으로 관측된 수소 스펙트럼의 위치와 정확히 일치했다. 이처럼 보어 모델은 플랑크의 양자화 개념을 토대로 수소 원자의 구조와 빛의 방출 패턴을 완벽하게 설명함으로써, 양자역학이 고전 물리학의 한계를 극복할 수 있다는 강력한 증거가 되었다.
완벽하지는 않지만, 역사적으로 중요한 전환점
보어의 모델은 수소 원자처럼 단순한 시스템에 대해서는 매우 정밀한 예측을 제공했지만 전자가 여러 개 있는 원자나 분자에는 적용하기 어려웠다. 하지만 이 한계에도 불구하고 양자역학이 실험 결과와 직접 연결될 수 있는 강력한 틀이라는 것을 보여준 의미 있는 전환점이었다.
보어의 아이디어는 이후 더 정교한 이론인 파동역학(슈뢰딩거 방정식)과 행렬역학(하이젠베르크)의 등장으로 확장되었고 마침내 현대 양자역학의 기초가 확립되었다.
💡 [용어 정리] 주양자수란?
전자의 에너지 상태를 구분하는 숫자로, n=1,2,3,…처럼 정수 값을 가진다. 값이 클수록 에너지가 높고 전자는 핵에서 더 멀리 떨어진 궤도에 있게 된다.
4.슈뢰딩거 방정식이 말하는 에너지의 양자화
보어의 원자 모형은 수소 원자의 선 스펙트럼을 설명하는 데 있어 놀라운 성공을 거두었지만 여전히 많은 한계를 안고 있었다. 무엇보다 전자가 왜 특정 궤도에서만 존재할 수 있는지를 물리적으로 설명하지 못했다는 점은 이론의 토대를 보다 정밀하게 다져야 할 필요성을 남겼다. 이 시점에서 등장한 것이 바로 에르빈 슈뢰딩거(Erwin Schrödinger)의 파동역학이다.
슈뢰딩거는 전자를 단순한 입자가 아닌 파동적 성질을 지닌 존재로 보고 그 파동이 원자 내부에서 어떻게 ‘존재할 수 있는지’를 수학적으로 표현할 수 있는 방정식을 제시했다. 이 방정식을 통해 전자의 ‘상태’—즉, 위치와 에너지, 분포 양상 등을 나타내는 파동함수—를 구할 수 있었는데 모든 상태가 물리적으로 가능한 것은 아니었다. 슈뢰딩거 방정식의 해가 실제로 의미 있는 파동이 되기 위해서는 몇 가지 수학적인 조건을 만족해야 했기 때문이다.
대표적인 조건은 다음과 같다. 첫째, 파동함수는 무한히 멀리 떨어진 곳에서 자연스럽게 0으로 수렴해야 한다. 전자라는 입자가 특정 공간에 존재하는 확률이 무한히 퍼질 수는 없기 때문이다. 둘째, 파동함수는 정규화되어야 한다. 즉, 전자가 어딘가에 존재할 확률의 총합이 반드시 1이 되어야 한다는 조건이다. 이 두 가지 조건은 단순한 수학적 편의가 아니라 입자가 실제로 존재할 수 있는지를 결정하는 물리적 제약이다. 그 결과 모든 에너지 값이 가능한 것이 아니라 이 조건들을 만족시키는 특정한 에너지 값만이 허용된다는 사실이 드러났다.
말하자면, 전자가 원자 안에서 가질 수 있는 에너지는 연속적인 값의 흐름이 아니라 정해진 계단처럼 불연속적인 값들로만 존재하게 되는 것이다. 보어가 직관적으로 가정했던 ‘계단식 에너지 구조’는 이제 수학적으로도 명확히 도출되는 결론이 되었고 양자역학의 핵심 원리 중 하나로 자리잡게 되었다. 이러한 결과는 단지 수소 원자에 국한되지 않는다. 보다 복잡한 원자나 분자, 나아가 전자의 움직임이 중요한 다양한 물리 시스템에서도 이러한 양자화 조건은 그대로 적용된다. 그리고 바로 이 원리가 오늘날 양자컴퓨터에서 사용하는 에너지 준위 기반 큐비트의 구조를 이해하는 데 중요한 열쇠가 된다.
💡 [개념 정리] 파동함수란?
입자의 상태를 나타내는 양자역학적 함수로 그 제곱은 입자가 특정 위치에 있을 확률을 의미한다.
5. 양자 점프와 에너지 계단: 파동함수가 만든 세계
앞에서 살펴본 것처럼 슈뢰딩거 방정식을 통해 전자의 파동함수를 구하면 그 안에서 자연스럽게 특정한 에너지만 허용된다는 양자화 현상이 도출된다. 그리고 이 에너지 준위는 마치 계단처럼 불연속적인 구조를 이룬다.
이제 남은 질문은 바로 이것이다. 전자는 이 계단 위에서 어떻게 움직이는가? 즉, 전자가 한 에너지 상태에서 다른 상태로 ‘이동’할 때 무슨 일이 벌어지는가 하는 점이다.
고전적인 감각으로 생각하면 에너지가 조금씩 흘러가듯 전이가 일어나리라 예상할 수 있다. 하지만 양자역학에서의 전이는 그런 식으로 부드럽게 일어나지 않는다. 오히려 전자는 어느 순간 갑작스럽게 한 상태에서 다른 상태로 튀듯이 이동한다. 이 과정을 흔히 양자 점프(Quantum Jump) 라고 부른다. 양자 점프는 마치 계단을 걷는 것과 같다.
전자는 한 단계에서 다른 단계로 ‘점프’할 수 있지만 그 사이 어딘가에 머물러 있는 상태는 존재하지 않는다. 그리고 이 점프는 특정한 조건을 만족할 때만 일어난다. 예를 들어, 전자가 더 높은 에너지 상태로 이동하려면 그 차이에 해당하는 정확한 에너지를 가진 빛(=광자)을 흡수해야 하고 반대로 더 낮은 상태로 내려올 경우에는 그 차이만큼의 에너지를 빛의 형태로 방출하게 된다. 이러한 점프는 매우 빠르게 거의 순간적으로 일어나며 그 결과로 특정한 파장의 빛이 생성되거나 사라진다. 이것이 바로 우리가 원자의 선 스펙트럼에서 관측하는 뚜렷한 빛의 선들이다.
그런데 왜 에너지가 ‘계단’처럼 되어 있을까? 그 이유는 슈뢰딩거 방정식의 해, 즉 전자의 파동함수가 특정한 수학적 조건을 만족할 때에만 유효한 상태로 받아들여지기 때문이다. 앞서 간단히 언급했던 것처럼 파동함수는 무한대에서 0으로 수렴해야 하고 전체 확률이 1이 되도록 정규화되어야 한다.
이 조건들을 만족하는 파동의 형태는 제한적이며 그 제한된 형태에 맞추려면 전자의 에너지도 특정한 값으로만 가능해진다. 이 점에서 파동함수는 마치 기타 줄처럼 특정한 진동수에서만 울릴 수 있는 구조를 떠올리게 한다. 줄의 길이와 고정된 끝단이 존재하는 한 자유롭게 진동하는 게 아니라 특정한 진동 모드만 허용되듯이 전자의 파동 역시 특정한 ‘모양’과 ‘에너지’로만 존재할 수 있다. 이것이 바로 에너지 준위가 연속이 아닌 계단 구조를 가지는 진짜 이유이다.
이처럼 파동함수의 수학적 특성과 전자의 물리적 전이가 결합된 결과 양자역학의 세계는 우리 눈에 익숙한 연속적인 흐름이 아니라 뚜렷한 상태 간의 전이로 구성된 계단식 세계로 드러난다. 그리고 그 계단을 오르내리는 전자의 움직임 즉 양자 점프는 현대 물리학이 자연을 바라보는 방식을 완전히 바꿔놓았다.
이러한 양자 점프와 상태 간 전이 개념은 이후 전자의 상태가 중첩되어 있다는 해석으로 이어지며 슈뢰딩거의 고양이 실험과 같은 대표적 사고 실험의 토대가 되었다.
6. 실제 현상 속 양자화: 전자 궤도, 빛의 흡수·방출
양자화라는 개념은 단지 이론 속에만 머무는 추상적인 생각이 아니다. 실제로 이 현상은 다양한 실험에서 반복적으로 관측되며 우리가 사용하는 수많은 기술의 바탕이 되기도 한다. 대표적인 예로는 수소 원자의 스펙트럼이 있다. 수소는 특정한 파장의 빛만을 흡수하거나 방출하는데 이는 전자가 양자화된 에너지 준위 사이를 오갈 때 정해진 에너지만 교환할 수 있기 때문이다. 이러한 선 스펙트럼은 실험적으로 매우 정밀하게 확인되며 양자화된 에너지 구조를 뚜렷하게 보여주는 사례다.
또한, 우리가 흔히 접하는 레이저 역시 양자화의 원리를 기반으로 한다. 레이저는 특정 에너지 준위 간의 전이를 반복적으로 유도해 강력하고 일정한 파장의 빛을 만들어낸다. 이 전이는 자연스럽게 일어나는 것이 아니라 정해진 두 상태 사이에서만 가능하므로 양자화된 구조가 전제되어야 한다. 레이저는 특정 에너지 준위 간 전이를 이용해 빛을 생성한다. 레이저의 원리를 보면 양자화가 어떻게 기술로 구현되는지를 이해할 수 있다.
반도체 기술에서도 양자화는 핵심 역할을 한다. 전자의 에너지가 불연속적으로 나뉘어 있는 밴드 구조 때문에 특정한 조건에서만 전류가 흐르고 이로 인해 트랜지스터나 다이오드 같은 전자 소자가 작동할 수 있게 된다. 이 역시 양자역학적인 에너지 준위 구조 없이는 설명할 수 없는 현상이다.
더 나아가 핵자기공명(NMR)이나 자기공명영상(MRI) 같은 정밀 의료 기술도 핵스핀의 양자화된 상태 변화를 활용해 신호를 만들어낸다. 핵스핀이 특정한 양자 상태 사이에서 전이할 때 발생하는 반응을 감지함으로써 우리 몸속 구조를 고해상도로 촬영할 수 있는 것이다.
7. 양자화 없이는 양자컴퓨터도 없다
지금까지 살펴본 양자화 개념은 단순한 이론적 발견을 넘어 자연이 어떻게 작동하는지를 이해하기 위한 핵심적인 단서였다. 에너지가 불연속적인 계단처럼 존재한다는 사실은 전자나 원자 같은 미시적 입자들의 행동을 설명하는 데 결정적인 역할을 해왔다. 그리고 바로 그 원리가, 양자컴퓨터의 가장 밑바탕을 이루고 있다. 양자컴퓨터는 전통적인 컴퓨터와 달리 0과 1의 상태가 중첩된 큐비트(qubit)라는 정보를 기반으로 작동한다. 이 큐비트를 구현하는 방식은 여러 가지가 있지만 공통적으로는 양자화된 두 개의 에너지 상태를 선택해 |0⟩과 |1⟩이라는 정보 단위로 활용한다는 점이 동일하다.
예를 들어 이온트랩 양자컴퓨터에서는 이온 내부의 하이퍼파인 상태나 전자 스핀 상태처럼 에너지가 정확히 나뉘어져 있는 두 준위를 사용해 큐비트를 만든다. 이 상태들은 연속적이지 않기 때문에 외부 잡음에 덜 민감하며 특정 주파수의 빛을 이용해 안정적으로 제어할 수 있다. 만약 자연에 양자화라는 현상이 없었다면 이러한 명확히 구분되는 상태를 정의할 수 없었을 것이다. 즉, 양자화가 없다면 큐비트도 없고 양자컴퓨터도 없다.
[관련 글]
양자 게이트는 어떻게 양자 컴퓨터를 움직이는가? 회로에서 알고리즘까지
양자 게이트 중 가장 유연한 도구: 회전 게이트의 모든 것
❓ 자주 묻는 질문 (FAQ)
Q1. 양자화란 무엇인가요?
A. 양자화는 에너지나 운동량 같은 물리량이 연속적인 값이 아니라 일정한 단위로 불연속적인 값만 가질 수 있다는 개념입니다. 대표적으로 전자의 에너지 준위가 양자화되어 있습니다.
Q2. 왜 에너지가 계단처럼 존재하나요?
A. 파동함수가 일정한 수학적 조건(정규화, 경계 조건)을 만족해야 하기 때문에 가능한 에너지 값이 제한되어 있어 계단처럼 불연속적인 구조가 됩니다.
Q3. 양자화 개념은 실생활에서 어떻게 적용되나요?
A. 양자화는 수소 원자의 선 스펙트럼, 레이저, 반도체 소자, NMR·MRI 의료 장비 등에서 핵심 원리로 사용됩니다.
Q4. 양자화와 양자컴퓨터는 어떤 관련이 있나요?
A. 양자컴퓨터의 큐비트는 양자화된 두 상태를 기반으로 구성됩니다. 양자화가 없다면 큐비트를 안정적으로 정의하고 제어할 수 없습니다.
Q5. 고전역학과 양자역학의 차이는 무엇인가요?
A. 고전역학은 연속적인 물리량을 전제로 하지만 양자역학은 특정 물리량이 불연속적인 값만을 갖는다는 점에서 근본적인 차이가 있습니다.